The present study investigated the effects of different intensities of FIFA11+ on the physical performance of U-15 soccer players. Eighteen U-15 soccer players (13.3 ± 0.7 years) performed five randomized conditioning activities (CA), with each CA separated by 3–7 days. The five CA were: 1) FIFA11+ at level 1 (F1); 2) FIFA11+ at level 2 (F2); 3) FIFA11+ at level 3 (F3); 4) FIFA11+ at reduced version (FR); and 5) Standard warm-up of the players (Control). The subjective session rating of perceived exertion (session-RPE), countermovement jump (CMJ), 10-m sprint, and 505 agility test were measured 5 min after each CA. CMJ was higher in the FR (29.6 ± 5.5 cm) compared to the F1 (27.7 ± 4.6 cm) (p<0.05). There was no difference between the other comparisons (F2: 28.2 ± 3.6 cm; F3: 28.1 ± 5.0 cm; Control: 28.6 ± 4.9 cm; p>0.05). The sprint performance was higher in the Control (1.937±0.166 s) and FR (1.931±0.123 s) compared to the F1 (2.006±0.113 s) (p<0.05). There was no difference between the other comparisons (F2: 1.970±0.116 s; F3: 1.999±0.117 s) (p>0.05). Agility performance did not differ between conditions (FR: 2.756±0.205 s; F1: 2.7286±0.229 s; F2: 2.832±0.228 s; F3: 2.804±0.209 s; CON: 2.756±0.205 s; p>0.05). Session-RPE was considered hard for all CA, with no significant differences among conditions (p>0.05). The internal training load was higher in the F1, F2, and F3 compared to the FR and CON (p<0.05). The current results suggest performing a standard warm-up or the reduced version of FIFA 11+ to optimize performance in the CMJ and sprint of U-15 soccer players.
Increasingly, strategies to improve performance and decrease the risk of injury in soccer are the focus of researchers, coaches, and players.1,2 To this end, FIFA and its Medical Assessment and Research Center (F-MARC) have developed the FIFA 11+ program.3 FIFA 11+ is composed of exercises that recruit the muscles of the central region of the body, exercises that involve concentric and eccentric muscle actions of the lower limb muscles, proprioceptive training, dynamic stabilization, and plyometric exercises.3 In addition to potentially decreasing injury rates, FIFA11+ can also be used as a conditioning activity (CA) to acutely enhance physical performance before the main activity (e.g., practice and game).4
However, the effects of FIFA 11+ as a CA on soccer players’ performance are contradictory.5-8 Overall, an increase in sprint, agility, and jump performance has been found.5 Nevertheless, no improvement was observed in the rate of strength development and maximal isometric quadriceps strength,5 or on agility, sprint, and jump performance,6,7 and another study reported lower sprint performance after FIFA 11+ in amateur soccer players.8 The divergence between the studies may be due to the variables used to design the CA. The variables are the intensity, volume, and interval between CA and the main activity.9 Specifically, the intensity of the second part of FIFA 11+ can range from level 1 (low intensity) to level 3 (high intensity). Two studies selected level 2,7,8 while the other two did not report the intensity.5,6 Thus, there is a lack of evidence on the effects of different types of FIFA 11+ on soccer players’ performance.
Furthermore, data on the acute effects of FIFA 11+ on youth soccer players (e.g., U-15 category) are even scarcer. To the authors' knowledge, only one study has investigated the acute effects of FIFA 11+ (intensity level 2) on the physical performance of U-17 players.7 FIFA 11+ as CA did not alter the performance of 10 and 20 m sprints, vertical jump, range of motion, and dynamic postural control.7 Thus, studies evaluating the acute effect of FIFA 11+ on the physical performance of young soccer players are still needed. Considering that soccer has been widely described as an intermittent and high-intensity sport composed mainly of jumps, sprints, runs with changes of direction, and dribbling (REF), examining performance in 10 m sprint, CMJ, and agility performance post-FIFA 11+ protocols may help conditioning professionals and coaches decide on the most effective conditioning activity before a soccer game. Therefore, this study aimed to investigate the effect of different intensities of FIFA 11+ as CA on the physical performance of U-15 soccer players. We hypothesize that all levels of FIFA 11+ will promote greater performance (i.e., jumping, sprinting, and agility) compared to a standard warm-up commonly performed by the players.
Materials and methodsParticipantsA sample size of 15 soccer players was calculated a priori using the GPower software (version 3.1.2; Franz Faul, Universitat Kiel, Germany). The following specifications were taken into consideration when performing the sample calculation: significance level= 0.05; statistical power= 0.8; effect size f = 0.3; test family= F-test; and statistical test= within-factors ANOVA with repeated measures.10 Inclusion criteria included being involved in regular training in a U-15 soccer team over the past 6 months, being free from musculoskeletal injuries that could impair lower limb muscle, and not taking any medications. Initially, 30 male athletes were recruited from a team with ages from 12 to 15 years. Twelve participants were excluded from the study for not completing all the tests. Thus, 18 athletes (13.3 ± 0.7 years, stature 162 ± 6 cm, body mass 47.1 ± 6.5 kg, and body mass index 17.7 ± 1.7 kg.m − 2) completed the study. The volunteers were athletes from a U-15 soccer from the same team involved in an organized and systematic training process, always in the afternoon. Training sessions involved technical and tactical exercises, for four days a week for 2 h in each training session. This study has been carried out in accordance with the Code of Ethics of the World Medical Association (Declaration of Helsinki) for experiments involving humans and was approved by the Research Ethics Committee of the Federal Institute of Southeast of Minas Gerais (Protocol: 3.656.382). The volunteers and their guardians signed a consent form after being informed of the objectives and procedures of the study.
Experimental designThis is a cross-sectional study conducted in October and November 2019. The volunteers were familiarized with all the experimental procedures and tests in the first two days. Body mass and height were also measured on the first day. Two days after familiarization, the volunteers performed, in a randomized and balanced manner, five experimental protocols composed of the following CA: 1) Fifa 11+ at level 1 (F1), 2) Fifa 11+ at level 2 (F2), 3) Fifa 11+ at level 3 (F3), 4) FIFA 11+ reduced version (FR), and 5) Control (CON). Five minutes after performing one of the CA, the volunteers performed, always in the same order, the countermovement jump (CMJ) test, the 505-agility test, and the 10 m sprint. In addition, the session rating of perceived exertion (session RPE) was evaluated 5 min after the performance of each of the CA protocols.
The interval between each experimental protocol was at least 48 h.7 In addition, the volunteers were instructed to maintain their training routine. The volunteers performed all the procedures wearing shorts and vests used during their workouts. The study was conducted always at the same place and time of day (3 pm to 5 pm). Ambient temperature and relative humidity were also collected during the tests.
Conditioning activity protocolsProtocols F1, F2, and F3 were performed as described in a previous study5 and consisted of: Part 1) 8 min of running between 7.3 and 14.4 km.h − 1 and dynamic stretching; Part 2) 10 min of strength, plyometric, and balance exercises; and Part 3) 2 min of running between 14.5–19.8 km.h − 1. In addition, part 2 of each protocol was performed at different intensities. F1 was performed at level 1 of difficulty, F2 at level 2, and F3 at level 3 of difficulty. The FR protocol consisted of performing parts 1 and 3 of FIFA 11+. The volunteers performed the standard team warm-up in the CON protocol. It consisted of skipping one time (one step between each cone), skipping two times (two steps between each cone), and lateral running (two lateral strides, alternating sides between each cone). Each exercise was performed for 3 min, between 5 cones distributed every 60 cm in a straight line.
Performance testsTo evaluate performance in the vertical jump, the volunteers performed two CMJs with 1 min of rest interval between jumps. The volunteers were instructed to jump as fast and high as possible with their hands on their hips. The range of motion was self-determined. The highest attempt was registered for the statistical analysis, which was given by the Multi Sprint software (Multi Sprint, Hidrofit®, Belo Horizonte, Brazil).
Agility was assessed by performing two attempts of the 505-agility test6 with a 1 min interval between attempts. The volunteers ran 15 m in a straight line, where they had two reference points, the first point at 10 m and the second point at 15 m. Upon reaching 15 m, the volunteers returned to the first point as quickly as possible. The time spent crossing and returning to the first point was recorded using a photocell (Multi Sprint, Hidrofit®, Belo Horizonte, Brazil) positioned at the starting point. Another photocell was positioned at the 10 m point to record the time in the 10 m sprint. The test started with the volunteers in the standing position, with one foot immediately behind the starting line. The volunteers were verbally encouraged and instructed to perform the test as quickly as possible, and the fastest attempt was used for statistical analysis.
Session rating of perceived exertionThe session RPE was evaluated using a scale graded from 0 (rest) to 10 (maximum effort).11 The volunteers were approached with the question "How was your training session?" and thus, pointed out their perceived level of effort. The internal training load (ITL) was calculated by the product between the session RPE and the total time of each CA.11
Environmental conditionsThe dry temperature and relative humidity were measured every 10 min using a digital thermo-hygrometer (Incoterm, Porto Alegre, Brazil).
Statistical analysisThe variables were expressed as mean and standard deviation. The normality of the data was assessed by the Shapiro-Wilk test. Data for CMJ, sprint, agility, dry temperature, and relative humidity showed normal distribution. Therefore, one-way ANOVA (protocol) with repeated measures was used to analyze these variables. The data for session RPE, duration, and ITL of the CA protocols did not show a normal distribution. These variables were analyzed using Generalized Estimating Equations (GEE) based on linear models. In case of significant differences, Bonferroni post hoc was used. The significance level adopted was P ≤ 0.05. The typical error (TE) of measurement was calculated for the vertical jump, 10 m sprint, and agility as described above12 using the data from the two familiarization sessions. A change above or below two times the TE relative to the control protocol was used to determine the responsive and non-responsive volunteers to the FIFA11 protocols, respectively. A change beyond twice the TE has been used to determine that there is a high probability (i.e., 12-to-1 chance) that the response is a true physiological adaptation.13 Thus, the TE was as follows: 1) vertical jump- 1.57 (cm) × 2; 3) 10 m sprint- 0.055 (s) × 2; and 3) agility- 0.139 (s) × 2. In addition, the effect size was calculated by the difference between the control values vs. each CA, divided by the overall standard deviation. Cohen's d values were used to classify the effect of each CA as trivial (d <0.2), small (0.2 ≤ d <0.5), medium (0.5 ≤ d <0.8), and large (d ≥ 0.8).14 The data were analyzed using SPSS software (version 20.0, Statistical Package for Social Sciences).
ResultsTable 1 shows the performance variables after performing the different CAs. There was an effect of CA on the CMJ (F = 2.72; p = 0.037) and 10 m sprint (F = 4.61; p = 0.002). Performance on the CMJ was higher in the FR protocol when compared to the F1 protocol (p = 0.028), with no difference between the other comparisons (p> 0.05). The time in the sprint was shorter in the Control and FR protocols compared to the F1 protocol (p = 0.029 and p = 0.008, respectively). There was no difference between the other comparisons (p> 0.05). There was no effect of CA on the agility test (F = 1.71; p = 0.159). The observed effect sizes for the CMJ (FR= 0.21, F1= −0.18, F2= −0.09, and F3= −0.11), 10 m sprint (FR= 0.05, F1= −0.47, F2= −0.23, and F3= −0.42), and for agility (FR= 0.01, F1= −0.14, F2= −0.35, and F3= −0.23) were all trivial or small.
Mean ± SD of the performance variables after performing the different conditioning activity protocols.
| Control | FR | F1 | F2 | F3 | P-value | |
|---|---|---|---|---|---|---|
| CMJ (cm) | 28.6 ± 4.9 | 29.6 ± 5.5* | 27.7 ± 4.6 | 28.2 ± 3.6 | 28.1 ± 5.0 | 0.037 |
| 10 m sprint (s) | 1.937 ± 0.166* | 1.931 ± 0.123* | 2.006 ± 0.113 | 1.970 ± 0.116 | 1.999 ± 0.117 | 0.002 |
| Agility (s) | 2.756 ± 0.205 | 2.754 ± 0.209 | 2.786 ± 0.229 | 2.832 ± 0.228 | 2.804 ± 0.209 | 0.159 |
FR: Reduced version of FIFA 11+. F1: FIFA 11+, on level 1 of difficulty. F2: FIFA 11+ on difficulty level 2. F3: FIFA 11+, on level 3 of difficulty. CMJ: countermovement jump.
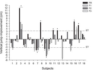
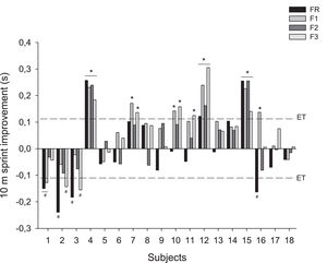
The individual responses in the jump, 10 m sprint, and agility to the FR, F1, F2, and F3 protocols compared to the CON protocol are shown in Figs. 1–3, respectively. In the jump, six of the 18 volunteers responded positively to the FR protocol, one responded to the F1 and F2 protocols, and two responded to the F3 protocol. Three volunteers responded negatively to the FR, F1, and F2 protocols, and 2 responded negatively to the F3 protocol. In the 10 m sprint, three of the 18 volunteers responded positively to the FR and F2 protocols, and six responded positively to the F1 and F3 protocols. On the other hand, four volunteers responded negatively to the FR protocol, while one and two volunteers responded negatively to the F1 and F3 protocols, respectively. Regarding agility, only one of the 18 volunteers responded positively to the F1 and F3 protocols, and 3 volunteers responded to the F2 protocol. In addition, one subject responded negatively to protocols F1, F2, and F3.
Table 2 shows the duration, session RPE, and ITL corresponding to each CA, as well as the ambient temperature and relative humidity. There was no effect of CA on session RPE (W = 2.72; p = 0.604). However, there was an effect of CA on duration (W = 5283; p< 0.001) and ITL of CA (W = 139; p< 0.001). The CON protocol showed the shortest duration (p< 0.001). FR had a shorter duration than protocols F1, F2, and F3 (p< 0.01), while F1 had a shorter duration than F2 and F3 (p< 0.001). ITL was higher in F1, F2, and F3 compared to the FR and CON protocols (p< 0.001). There was no difference between the other comparisons (p> 0.05). In addition, there was no difference between the protocols in ambient temperature (F = 0.11; p = 0.98) and relative humidity (F = 0.03; p = 0.99).
Mean ± SD of characteristics of the conditioning activities.
| Control | FR | F1 | F2 | F3 | P-value | |
|---|---|---|---|---|---|---|
| session RPE (U.A.) | 5.1 ± 2.2 | 4.9 ± 1.9 | 5.2 ± 1.9 | 5.3 ± 1.7 | 5.1 ± 1.5 | 0.89 |
| Duration (min) | 7.8 ± 0.4§,*,#,† | 10.4 ± 0.7*,#,† | 25.7 ± 2.4#,† | 28.0 ± 1.6 | 30.6 ± 3.4 | <0.001 |
| ITL (U.A.) | 40.1 ± 17.3*,#,† | 48.6 ± 19.3*,#,† | 134.7 ± 55.4 | 148.8 ± 45.9 | 158.0 ± 55.4 | <0.001 |
| Tdry ( °C) | 29.2 ± 3.7 | 28.9 ± 3.8 | 29.4 ± 3.8 | 29.3 ± 3.8 | 28.6 ± 3.6 | 0.96 |
| RHU (%) | 64 ± 16 | 63 ± 15 | 65 ± 18 | 63 ± 15 | 65 ± 16 | 0.99 |
FR: Reduced version of FIFA 11+. F1: FIFA 11+, on level 1 of difficulty. F2: FIFA 11+ on difficulty level 2. F3: FIFA 11+, on level 3 of difficulty. Tdry: Dry temperature. RHU: relative humidity.
FIFA 11+ is designed to decrease the risk of injury among soccer players3 but can promote an acute increase in physical performance.4 Thus, the present study aimed to investigate the acute effect of different intensities of FIFA 11+ on the physical performance of U-15 soccer players. The initial hypothesis was not confirmed, as none of the FIFA 11+ protocols showed superior performance in jumping, sprinting, and agility compared to the control protocol.
Performance improvement after the CA is important, especially in competitive sports, where the winner and loser can be determined by details. The present study appears to be the first that examined the acute effect of different types of FIFA11+ on the physical performance of U-15 soccer players, which makes a direct comparison with previous studies impossible. A lack of consistency in the effects of FIFA 11+ on sprint performance, agility, and CMJ is observed in the literature. For example, one study found that FIFA 11+ did not change the CMJ, but it impaired 10 and 20 m sprint performance.8 Mota et al.15 found improvement in agility and a decreased sprint performance of futsal athletes after performing FIFA 11+ compared to the baseline condition. In both studies8,15 the authors justify the results by possible fatigue caused by the volume and/or intensity of FIFA 11+. Additionally, another study reported no improvement in 20 m sprint and drop jump after FIFA 11+ in amateur soccer players.7 Cloack et al.6 evaluated the effect of three CA protocols on the reactive strength index and the 505-agility test in amateur soccer players, namely: 1) FIFA 11+ followed by 30 s of isometric squats on a vibration platform, 2) FIFA 11+ followed by 30 s of isometric squats, and 3) FIFA 11+. The only change observed was an increase in the reactive strength index after performing FIFA 11+ followed by 30 s of isometric squats. However, Bizzini et al.5 observed an increase in performance of the CMJ, 20 m sprint, and agility after performing FIFA 11+ compared to the control protocol (i.e., without CA). The authors attributed the improvement in agility performance to increased muscle temperature, although this variable was not assessed. It is worth noting that the studies did not mention the intensity at which the FIFA 11+ protocol was performed.
It is noted that the CA effects were evaluated by comparing the CA protocols with a baseline condition5,15 or to a traditional warm-up.7,8 Another study FIFA 11+ as a control group.6 This methodology characteristic may explain the divergence in the results of the mentioned studies. Performing a warm-up protocol commonly performed by the subjects, which supposedly would not cause a performance enhancement, may prevent a placebo effect of the CA tested. However, further studies are needed to examine if traditional warm-up has any effect on performance. The divergence between the studies may be also due to the variables used to design CA (i.e., intensity, volume, and interval between CA and the main activity).9 Two studies conducted the FIFA 11+ at level 2,7,8 while the other three did not report the intensity.5,6,13
Another issue to comment on is that the age of the participants in this study may be a limiting factor for the occurrence of performance potentiation after FIFA 11+ protocols due to the maturation process. Corroborating this hypothesis, one study found CMJ improvement after a CA composed of 3 maximal isometric squats only in a group aged 20 to 25 years.16 The same CA did not change the performance of subjects aged 10–12 years and 14–15 years.16 It is known that a higher anaerobic capacity is observed in adults compared to prepubertal individuals.17 Additionally, higher anaerobic capacity, either due to training level or age, contributes to a better response to CA, resulting in enhanced performance in strength and power tasks.18 It is noted that no procedure for evaluating the maturation process of the participants was used in the current study, which may be considered as a potential bias.
It has been suggested that performing CA consisting of dynamic exercises such as walking, running, and jumping (alone or in combination) can improve jumping and sprinting performance.19 On the other hand, performing static stretching seems to decrease performance.19 In addition, a previous study showed that a more intense dynamic CA, such as a small-sided game at ∼80% HRmax or 5 repetition maximum of leg press exercise, promotes better performance in CMJ and agility than a less intense dynamic CA, such as traditional warm-up.18 Therefore, besides the type of exercise performed in CA, intensity also appears to be a key factor in inducing increased performance due to CA.18 Still, based on previous studies,19,20 it is not possible to state that CA protocols commonly used by sports teams may affect the physical performance of athletes, given the discrepancy between the results.
In the present study, the session RPE was not different between the CAs. All the evaluated CA protocols were perceived as hard by the volunteers (Table 2). These findings suggest that the results of physical performance in the present study may be related to CA volume. The duration of the protocols varied widely, being longer in F1, F2, and F3 (25–31 min) when compared to FR and CON (p<0.05). Additionally, it was longer in FR (10.4 min) than in CON (7.8 min) (p<0.05). One study reported lower performance in the 10 m and 20 m sprints after performing a CA of 24 min duration when compared to a CA of 8 min and 15 min duration.21 Although there was a statistically significant difference in session RPE between the different protocols, the higher ITL observed in protocols F1, F2, and F3 when compared to protocols FR and CON may be due to the longer duration of protocols F1, F2, and F3.
The ITL has been used to evaluate the physiological stress caused by the training session, which depends on the session RPE and duration of the exercise.22 The present results suggest that considering only the intensity of CA may be a limited approach when trying to find the best fatigue/recovery ratio for promoting performance enhancement after CA. In addition, there seem to be no studies indicating which ITL of a CA is optimal for promoting acute improvement in physical performance, as well as its interaction with other important variables such as the athletes' training level, gender, age, performance parameter and recovery time.18 Future studies could evaluate whether the internal load of the CA could be an indicator of an effective CA.
An important result of the current study, from a practical standpoint, was the individual response to FIFA 11+ protocols (Figs. 1, 2, and 3). It is still unknown why certain individuals do not profit from CA. The type of muscle fiber (i.e., slow-twitch or fast-twitch) is an aspect that might help to understand how each subject reacts to CA. Individuals who have a higher proportion of fast-twitch fibers have demonstrated a positive response to CA, indicating that this motor unit is more likely to experience performance potentiation post-CA. 23,24 In addition, CA characteristics (exercise type, intensity, and duration), recovery interval, chosen performance test, and population (sport played, training history/level, age, and gender) are factors that are related to individual response to CA.18,25 Therefore, all modulating factors of CA must be considered to individualize its prescription and induce a positive response. Future studies are needed to evaluate the effect of FIFA 11+ protocols on other categories and its chronic effect.
Finally, the current study is not without limitations. One was that no physiological parameters related to performance potentiation post-CA were measured, which impacts further comprehension of the results. Similarly, no data related to the soccer game outcomes (e.g., technical and tactical parameters) we not assessed. Future studies should include these measures to examine if FIFA11+ performed as CA activity affect technical and tactical parameters. On the other hand, it is noteworthy that the external validity of our findings and the novelty of the results as strengths of the current study, since this seems to be the first study that examined the effect of different intensities of FIFA 11+ as CA on the physical performance of U-15 soccer players.
ConclusionThe results of the present study suggest that performing a standard warm-up or the reduced version of FIFA 11+ may optimize the performance in the CMJ and sprint of U-15 soccer players. However, it is still necessary to clarify the real impact of these strategies, especially in the game context, which involves technical and tactical aspects.








