La ingesta nutricional del futbolista adolescente es importante para garantizar el crecimiento y el rendimiento deportivo adecuados. Las recomendaciones nutricionales para deportistas jóvenes son debatibles, y no existen datos sobre la alimentación de jugadores juveniles argentinos. El propósito de este estudio es describir la ingesta nutricional de jugadores de divisiones inferiores de un club de fútbol de Argentina, establecer el estado nutricional-antropométrico y comparar las diferencias entre los deportistas y una muestra no-deportista.
MétodosSe tomaron medidas antropométricas y bioquímicas, y se realizaron encuestas nutricionales, en 91 jugadores juveniles de un club de fútbol de Buenos Aires y en 198 adolescentes del proyecto Deporte Social.
ResultadosNo se hallaron valores antropométrico-nutricionales anormales en los futbolistas, aunque el 8,9% de los adolescentes no-deportistas tenía sobrepeso. La ingesta energética promedio de los jugadores fue de 3.520±961 kcal; con aportes de 16±3% de proteínas, 51±11% de hidratos de carbono y 31±10% de lípidos. La energía fue provista por almidones (33%), carne (17%), grasas (15%), lácteos (12%), frutas y verduras (14%), y azúcares (8%). Los jugadores comían más carne, lácteos, frutas, verduras y grasas que sus pares no-deportistas, aunque menos almidones y azúcares (p <0 05 y mostraron valores superiores de hemoglobina menores colesterol p <0 050> 0>
ConclusionesLos jugadores poseen un estado antropométrico-nutricional adecuado, y la ingesta nutricional es superior en proteínas y lípidos e inferior en hidratos de carbono a las recomendaciones para estos adolescentes deportistas. Comparado con jóvenes no-deportistas, ingieren alimentos de mejor calidad nutricional.
The nutritional consumption of adolescent footballer is important to ensure growth and a suitable sports performance. Nutritional recommendations for young athletes are controversial, and there are no data on the diet of young Argentinian football players. The objective of this study is to describe the nutritional ingestion of footballer in the lower division of a football club in Argentina, to establish the nutritional-anthropometric status and compare the differences between athletes and non-athletes.
MethodsAnthropometric and biochemistry measurements were performed, and nutritional questionnaires were completed by 91 young football players of a Buenos Aires football club and in 198 adolescents in a Social Sport Project.
ResultsNo abnormal anthropometric-nutritional values were found in the footballer, although 8.9% of the non-athlete adolescents were overweight. The average energy ingested by the footballers was 3520±961 Kcal; which included 16%±3 proteins, 51%±11 carbohydrates and 31%±10 lipids. The energy was provided by starches (33%), meat (17%), fats (15%), milk products (12%), fruit and vegetables (14%), and sugars (8%). The football players ate more meat, milk products, fruit, vegetables and fats than their non-athlete peers, although less starches and sugars (P<.05), and they had higher haemoglobin and lower cholesterol values (P<.05).
ConclusionsThe footballers have an adequate anthropometric-nutritional status and nutritional ingestion is higher in proteins and lipids and lower in carbohydrates to those recommended for adolescent athletes. Compared to young non-athletes, they consume food of a better nutritional quality.
La nutrición para optimizar la salud y el rendimiento en atletas adolescentes es un área poco estudiada y escenario de debate1. En el caso del fútbol, las recomendaciones nutricionales suelen reflejar las de los deportistas adultos: 55-65% de hidratos de carbono, 30% de lípidos y 12-15% de proteínas2, entendiendo que si el aporte energético es adecuado, esta distribución de macronutrientes cubre las necesidades para el crecimiento y la actividad física de los jóvenes3. Sin embargo, los estudios que han documentado la ingesta alimentaria en futbolistas juveniles reportan ingestas que varían desde el 45 hasta el 63% para hidratos de carbono, del 26 al 38% en lípidos, y del 11 al 18% en proteínas (Tabla 1)4. A su vez, la ingesta de energía varía desde 2.352 kcal5 hasta 3.952 kcal6. Una explicación a esta gran variabilidad se corresponde con las características de los sujetos evaluados, en un rango de edades que va desde los 13 hasta los 21 años, demasiado amplio para la etapa de la adolescencia, cuando los cambios físicos son muy grandes. La estrategia de colapsar grupos etarios obedece a la necesidad de tener un número de sujetos lo suficientemente extenso como para generar potencia para las pruebas estadísticas, pero como contrapartida dificulta la interpretación de los resultados. Sólo los trabajos de Leblanc5 y Ruiz et al7 estratificaron la ingesta por grupo etario. Otros factores que afectan los resultados pueden ser el subregistro6, el método de encuesta nutricional usado8, diferencias culturales entre países, si los deportistas residían en centros especializados o en sus hogares, y el período competitivo en el momento del registro nutricional. De los 8 estudios publicados sobre nutrición en futbolistas adolescentes, 3 usaron el método de registro por pesaje de entre 3 y 6 días4, 7, 9, 10, otros tres el registro de porciones habituales de entre 4 y 12 días5, 6, uno el recordatorio de 24 h11, y otro un cuestionario de frecuencia de consumo12. No obstante las limitaciones mencionadas, todos estos autores, con la excepción de Maughan et al11, han sido muy críticos a la hora de calificar los patrones nutricionales de los futbolistas, por no asemejarse a las recomendaciones establecidas. De ser la nutrición de estos jugadores inadecuada, los parámetros antropométricos y bioquímicos, considerados como variables duras u objetivas en vez de subjetivas, tal vez podrían reflejar esta malnutrición. Sin embargo, ningún estudio manifiesta antropometría anormal, y los análisis bioquímicos no reflejan valores anómalos11. Existe la posibilidad de que, de ser realidad, una nutrición inadecuada en estos deportistas afecte su desempeño físico en el campo, pero es difícil establecerlo por la dificultad de calificar el rendimiento físico en partidos de una manera objetiva13. Por otro lado, si estas muestras corresponden a la elite deportiva dentro de un ámbito tan competitivo como el fútbol, es muy probable que quienes han sido perjudicados con malnutrición no hayan sido seleccionados en el proceso. La otra posibilidad es que no sabemos con claridad cuáles son las recomendaciones nutricionales para optimizar el rendimiento y la salud en el fútbol juvenil, y que debemos abstenernos de realizar juicios de valor sobre dichas dietas hasta que la experimentación científica aclare este tema.
Tabla 1. Resumen de estudios sobre ingesta en jugadores de fútbol juvenil
| Autor(es) | Año | Muestra | Edad (años) | País | Energía (kcal) | Hidratos de carbono (%) | Proteínas (%) | Lípidos (%) | Hidratos de carbono (g/kg) | Proteínas (g/kg) | Lípidos (g/kg) | Método |
| Rico-Sanz J, et al. | 1998 | 8 | 17±2 | Puerto Rico | 3.952±1.071 | 53,2±6,2 | 14,4±2,3 | 32,4±4,0 | 8,3 | Registro 12 días | ||
| Leblanc J, et al. | 2002 | 68 | 13 | Francia | 2.436±374 | 48,5-56,6 | 13,1-16,2 | 29,1-35,8 | 1,9±0,4 | Registro 5 días | ||
| 58 | 14 | 2.916±286 | 1,98±0,28 | |||||||||
| 54 | 15 | 3.010±427 | 1,9±0,3 | |||||||||
| Iglesias-Gutiérrez E, et al. | 2005 | 33 | 14-16 | España | 2.983 (2.705-3.545) | 45 (37-55) | 16 (11-20) | 38 (29-47) | 5,6 (3,4-8,1) | 1,9 (1,2-2,6) | Registro por pesaje 6 días | |
| Ruiz, F, et al | 2005 | 18 | 14,0 | España | 3.456±309 | 47,4 | 15,2 | 38,3 | 6,68±0,9 | 2,03±0,2 | 2,20±0,2 | Registro por pesaje 3 días |
| 20 | 14,9 | 3.418±182 | 45,5 | 16,6 | 39,1 | 5,94±0,4 | 2,14±0,1 | 2,15±0,1 | ||||
| 19 | 16,6 | 3.478±223 | 45,2 | 16,9 | 38,4 | 5,32±0,4 | 2,03±0,2 | 2,15±0,1 | ||||
| 24 | 20,9 | 3.030±141 | 44,6 | 17,7 | 38,0 | 4,57±0,2 | 1,81±0,1 | 1,76±0,1 | ||||
| Caccialanza R, et al | 2007 | 43 | 16±1 | Italia | 2.560±636 | 52,9±4,0 | 16,6±2,1 | 30,5±3,4 | 4,9±1,5 | 1,5±0,4 | Registro 4 días | |
| Garrido G, et al | 2007 | 33 Buff. | 16,9±1,5 | España | 2.740±531 | 46,1 | 16,3 | 37,5 | 4,4±1,1 | 1,5±0,3 | Registro por pesaje 5 días | |
| 29 Menú | 16,1±1,4 | 3.148±619 | 49,5 | 14,7 | 35,7 | 5,6±1,4 | 1,6±0,3 | |||||
| Maughan R, et al. | 2008 | 59 Fast | 18±1 | Túnez | 3.493±574 | 55±4 | 13±2 | 31±3 | Recordatorio 24 h | |||
| 36 Nfast | 18±1 | 3.541±694 | 57±4 | 13±1 | 30±3 | |||||||
| Noda Y, et al | 2009 | 31 | 19±1 | Japón | 3.006±1052 | 62,7±5,2 | 11,0±1,3 | 26,3±4,3 | 6,9±2,4 | 1,3±0,4 | Cuestionario de frecuencia de consumo |
Buff.: menú tipo buffet libre; Menú: menú fijo servido al plato; Fast: jugadores musulmanes realizando ayuno diurno por Ramadán;Nfast: jugadores musulmanes que no realizaban el ayuno diurno.
El fútbol es el deporte más popular en Argentina, país que ha ganado varios mundiales juveniles y que actualmente cuenta con más de mil jugadores profesionales en el exterior14. A pesar de la relevancia del deporte en este país, hasta la fecha no hay estudios publicados sobre la ingesta nutricional de sus jugadores de fútbol adolescentes. En Argentina la mayoría de los jugadores de fútbol provienen de estratos socioeconómicos medios y bajos, franjas sociales que sufren los impactos de las crisis económicas que deterioran su seguridad alimentaria y el acceso a alimentos de elevada calidad nutricional como carnes, frutas y verduras, que son reemplazados por almidones y azúcares de bajo costo15. El efecto de este cambio de patrón alimentario es el de promover mayores tasas de sobrepeso y obesidad, conjuntamente con carencias de micronutrientes16, 17, factores que posiblemente afecten de manera negativa el rendimiento de los jóvenes jugadores de fútbol. Paradójicamente, este nocivo sesgo alimentario hacia un mayor aporte de hidratos de carbono se alinea con las recomendaciones para deportistas juveniles2, hecho que pone de manifiesto argumentos en contra de ellas. El objetivo de este estudio es describir la antropometría, la ingesta nutricional y los parámetros bioquímicos clínicos de jugadores adolescentes pertenecientes a un club de primera división en Buenos Aires, y comparar estos valores con los de una muestra de pares no-deportistas del mismo estrato social y región geográfica.
MétodosSujetosSe evaluaron 91 jugadores de entre 13 y 19 años de las divisiones inferiores del Club Huracán durante el período competitivo en octubre de 2009. Siete de estos jugadores vivían en la pensión del club y 4 eran extranjeros de países limítrofes, mientras que otros 10 provenían de provincias del interior del país. La mayoría de los jugadores procedía del Área Metropolitana de Buenos Aires (AMBA). Para realizar la comparación con sujetos no-deportistas se tomaron datos de una muestra de 198 varones de edades similares que formaron parte del proyecto Deporte Social realizado en 2006 en la misma área geográfica del AMBA. Los jugadores de fútbol entrenaban dos horas cinco veces por semana además de jugar un partido oficial, mientras que los sujetos de Deporte Social realizaban actividad física durante una hora tres veces por semana. Todos los sujetos fueron categorizados por edad, comprendiendo el período anual entero, como, por ejemplo, el grupo de «14 años» tenía entre 14,0 y 14,9 años. Los sujetos fueron informados sobre los propósitos del estudio y firmaron su consentimiento, donde en el caso de menores de edad el mismo fue suscrito por un padre o tutor legal. El estudio fue aprobado por el Comité de Ética del Departamento Médico del Club Atlético Huracán.
Antropometría y composición corporalSe midieron peso, estatura, talla sentada, seis diámetros, diez perímetros y seis pliegues, obedeciendo las normativas establecidas por la Sociedad para el Avance en Cineantropometría (ISAK)18, y utilizando balanzas Aspen EB6571 (Zhongshan, Jinli Electronic, China), estadiómetros milimetrados desmontables de pared, calibres para diámetros grandes Campbell 20 y pequeños Campbell 10 (Rosscraft SRL, Quilmes, Argentina), cintas metálicas Anthrotape (Rosscraft, Canadá), y calibres para pliegues Slim Guide (Creative Health Products, EE.UU.). Los índices talla-edad (T-E) e índice de masa corporal-edad (IMC-E) se calcularon con el software WHO AnthroPlus (Organización Mundial de la Salud, OMS, Ginebra, 2009; http://www.who.int/growthref/tools/en/), y la composición corporal con un software ad hoc en planillas de cálculo, utilizando las ecuaciones del Fraccionamiento en cinco componentes de Ross y Kerr19.
Encuesta nutricionalCon la ayuda de maquetas de alimentos y utensilios de uso común como tazas, vasos, cucharas y platos, licenciadas en Nutrición entrenadas en el método de encuestas realizaron recordatorios de 24 h a los jugadores en días de la semana para no registrar el fin de semana. Luego de una inspección de los datos, los mismos fueron ingresados al software nutricional SARA (versión 1.2.12, Ministerio de Salud, Argentina; http://www.msal.gov.ar/htm/Site/ennys/site/sara.asp) para su posterior análisis de energía, macro- y micro-nutrientes. El grado de adecuación de vitaminas y minerales se estableció comparándolas con las referencias de ingesta dietaria (RDI) para varones adolescentes del Food and Nutrition Board, Institute of Medicine, EE.UU. (http://books.nap.edu/catalog.php?record_id=11537).
BioquímicaLas muestras fueron tomadas por la mañana con los sujetos en ayunas por una doctora en Bioquímica, y luego procesadas con un espectrofotómetro Metrolab 1600DR (Buenos Aires, Argentina). Los elementos estudiados fueron eritrocitos, leucocitos, hemoglobina, hematocrito, colesterol, albúmina, proteínas totales, creatinina, uremia y uricemia. Los valores de referencia se tomaron del manual de Mosby20.
EstadísticasLos datos descriptivos, media y desvío estándar, así como las pruebas de comparación, T de Student y Prueba chi cuadrado, fueron realizados con el paquete estadístico SPSS (versión 17.0, Chicago, EE.UU.). La significación estadística se estableció en p<0,05.
ResultadosTamaño y composición corporal ( tabla 2 )El indicador nutricional-antropométrico ZTalla-Edad muestra, para menores de 19 años, que todos los jugadores de fútbol tenían estatura normal, salvo cuatro casos (5,2%) clasificados como muy altos (ZTalla-Edad>2,0), mientras que en los adolescentes del proyecto Deporte Social la prevalencia de estatura baja (ZTalla-Edad<–2,0) fue de 3,1% (6 casos). Los jugadores de fútbol fueron, en promedio, más altos que los sujetos del proyecto Deporte Social en los grupos de 14 y 16 años. El promedio del peso relativo a la estatura y edad (ZIMC-Edad), estuvo por encima del promedio de la referencia de la OMS, aunque no hubo diferencias estadísticamente significativas entre los futbolistas y los adolescentes del proyecto Deporte Social. La prevalencia de bajo peso (ZIMC-Edad<–2,0) fue nula en ambas muestras, mientras que la prevalencia de sobrepeso (ZIMC-Edad>2,0) fue inexistente en futbolistas y del 8,9% (18 casos) en los adolescentes no-futbolistas. La masa adiposa fue menor en los futbolistas en los grupos de 17 y 19 años, y la muscular mayor en estos jugadores en los grupos de 14, 15, 16 y 18 años. A su vez, la masa ósea sólo fue superior en los futbolistas de los grupos de 16 y 18 años.
Tabla 2. Características de los sujetos (media±desvío estándar)
| Grupo etareo | 14 | 15 | 16 | 17 | 18 | 19 | ||||||
| Grupo | Fútbol | Dep Social | Fútbol | Dep Social | Fútbol | Dep Social | Fútbol | Dep Social | Fútbol | Dep Social | Fútbol | Dep Social |
| N | 15 | 67 | 10 | 54 | 14 | 28 | 19 | 24 | 19 | 19 | 14 | 6 |
| Edad (años) | 14,5±0,2 | 14,6±0,3 | 15,4±0,1 | 15,5±0,3 | 16,5±0,2 | 16,5±0,3 | 17,5±0,2 | 17,4±0,3 | 18,5±0,2 | 18,4±0,2 | 19,5±0,2 | 19,4±0,2 |
| Peso (kg) | 65,0±8,7 | 59,4±14,9 | 68,5±9,7 | 64,5±14,2 | 68,1±7,5 | 62,7±11,0 | 68,5±8,8 | 70,7±14,0 | 74,6±7,8 | 68,9±6,8 a | 71,7±5,3 | 80,4±21,7 |
| Talla (cm) | 170,7±7,2 | 165,2±8,4 a | 173,2±7,8 | 169,6±6,4 | 173,3±5,8 | 169,1±4,7 a | 174,1±6,8 | 172,1±6,6 | 178,4±8,8 | 173,7±5,9 | 174,5±7,1 | 171,7±6,5 |
| Σ 6 pl. (mm) | 56,2±13,5 | 75,3±42,3 a | 59,5±19,0 | 77,7±41,8 | 49,2±14,7 | 70,0±33,1 a | 51,6±13,0 | 76,7±36,8 a | 55,6±13,1 | 68,0±24,2 | 50,2±7,5 | 105,5±61,9 |
| IM (kg·m−2) | 22,2±2,0 | 21,5±4,0 | 22,8±2,5 | 22,3±3,8 | 22,6±1,7 | 21,8±3,1 | 22,5±1,9 | 23,9±4,5 | 23,4±1,2 | 22,9±2,6 | 23,5±1,1 | 27,3±7,7 |
| Adiposa (kg) | 15,8±2,7 | 17,4±7,1 | 16,4±3,2 | 19,0±7,3 | 15,0±3,2 | 17,6±5,5 | 15,7±2,8 | 19,4±6,2 a | 17,1±2,7 | 18,1±3,3 | 15,3±2,0 | 23,2±9,1 a |
| Muscular (kg) | 30,3±4,7 | 24,9±6,2 a | 32,0±5,3 | 27,4±5,6 a | 32,7±4,0 | 27,3±4,7 a | 32,4±4,9 | 31,3±5,7 | 35,8±4,3 | 31,6±4,3 a | 35,1±3,0 | 34,6±8,6 |
| Residual (kg) | 7,5±1,0 | 6,5±1,5 a | 7,9±0,9 | 6,9±1,4 a | 8,2±0,8 | 6,8±1,1 a | 8,3±1,1 | 7,8±1,4 | 8,8±1,0 | 7,2±0,8 a | 8,6±0,7 | 9,2±2,9 |
| Ósea (kg) | 7,8±1,1 | 7,4±1,2 | 8,5±1,2 | 7,8±1,1 | 8,5±0,9 | 7,5±0,8 a | 8,4±1,1 | 8,5±1,2 | 9,0±0,9 | 8,2±0,8 a | 8,8±1,1 | 9,5±1,8 |
| Piel (kg) | 3,7±0,3 | 3,4±0,4 a | 3,7±0,3 | 3,6±0,3 | 3,7±0,2 | 3,6±0,3 a | 3,8±0,3 | 3,8±0,3 | 4,0±0,3 | 3,8±0,2 a | 3,8±0,3 | 3,8±0,5 |
| ZTalla-Edad | 0,46±0,93 | -0,18±1,02 a | 0,27±1,03 | -0,18±0,81 | -0,15±0,75 | -0,65±0,63 a | -0,23±0,90 | -0,47±0,88 | 0,27±1,20 | -0,35±0,80 | ||
| ZIMC-Edad | 0,90±0,60 | 0,54±1,09 | 0,83±0,73 | 0,54±1,07 | 0,55±0,54 | 0,23±0,87 | 0,31±0,61 | 0,57±1,25 | 0,45±0,40 | 0,24±0,87 | ||
a Diferencia estadísticamente significativa p<0,05.
La ingesta energética total fue similar entre los dos grupos de sujetos a todas las edades, aunque superior en futbolistas a los 19 años cuando se normalizó por peso corporal. La distribución de la ingesta en el día en los jugadores de fútbol fue de 11% al desayuno, 32% al almuerzo, 15% en la merienda, 37% a la cena y 5% en colaciones entre comidas. El consumo de proteínas fue superior en los futbolistas de 16, 17 y 19 años comparados con sus pares del proyecto Deporte Social, mientras que el consumo de lípidos sólo fue superior en los futbolistas de 17 años, y no se encontraron diferencias estadísticamente significativas en el consumo de hidratos de carbono entre los jugadores y la muestra comparativa en ningún estrato etario.
Tabla 3. Estimaciones energéticas, ingesta energética y de macronutrientes por grupo etáreo y de actividad (media±desvío estándar)
| Grupo etáreo | 14 | 15 | 16 | 17 | 18 | 19 | ||||||
| Grupo | Fútbol | Dep Soc | Fútbol | Dep Soc | Fútbol | Dep Soc | Fútbol | Dep Soc | Fútbol | Dep Soc | Fútbol | Dep Soc |
| N | 15 | 67 | 10 | 54 | 14 | 28 | 19 | 24 | 19 | 19 | 14 | 6 |
| MBR (kcal) | 1.712±148 | 1.609±234 | 1.766±160 | 1.697±217 | 1.753±126 | 1.658±168 | 1.757±148 | 1.777±205 | 1.854±146 | 1.753±100 a | 1.788±104 | 1.894±303 |
| GET (kcal) | 2.910±252 | 2.736±398 | 3.001±272 | 2.885±369 | 2.981±214 | 2.818±285 | 2.986±251 | 3.020±348 | 3.152±249 | 2.981±169 a | 3.039±177 | 3.220±516 |
| Ing. En. (kcal) | 3.115±835 | 3.029±881 | 3.368±1219 | 3.146±1196 | 3.662±1.106 | 3.280±1.006 | 3.771±734 | 3.346±1.256 | 3.265±881 | 3.674±922 | 3.920±1.080 | 2.998±808 |
| Ing./MBR | 1,8±0,5 | 1,9±0,6 | 1,9±0,7 | 1,9±0,8 | 2,1±0,7 | 2,0±0,7 | 2,2±0,4 | 1,9±0,7 | 1,8±0,5 | 2,1±0,6 | 2,2±0,6 | 1,6±0,4 a |
| En./P. (kcal/kg) | 48,7±15,8 | 54,0±19,8 | 50,6±20,8 | 51,0±21,4 | 55,3±20,6 | 54,5±19,8 | 55,6±11,0 | 48,8±20,2 | 44,3±13,1 | 54,1±16,3 a | 54,9±15,5 | 38,9±11,9 a |
| Proteínas (g) | 113±35 | 104±34 | 134±41 | 112±52 | 145±42 | 105±36 a | 151±37 | 123±48 a | 132±42 | 130±35 | 169±54 | 98±20 a |
| Proteínas/peso (g/kg) | 1,8±0,6 | 1,9±0,7 | 2,0±0,8 | 1,8±0,8 | 2,2±0,7 | 1,7±0,7 | 2,2±0,6 | 1,8±0,7 a | 1,8±0,6 | 1,9±0,6 | 2,4±0,8 | 1,3±0,6 a |
| Proteínas (%En.) | 15%±3% | 14%±3% | 16%±3% | 14%±3% | 16%±3% | 13%±3% a | 16%±3% | 15%±3% | 16%±3% | 14%±2% a | 17%±3% | 14%±5% |
| Lípidos (g) | 104±39 | 109±38 | 122±47 | 115±60 | 136±52 | 115±45 | 162±53 | 117±52 a | 123±51 | 128±41 | 165±67 | 100±35 a |
| Lípidos/peso (g/kg) | 1,6±0,6 | 1,9±0,8 | 1,8±0,8 | 1,9±1,0 | 2,1±0,9 | 1,9±0,9 | 2,4±0,7 | 1,7±0,8 a | 1,7±0,8 | 1,9±0,6 | 2,3±1,0 | 1,3±0,5 a |
| Lípidos (%En.) | 31%±10% | 32%±7% | 32%±8% | 32%±7% | 34%±10% | 31%±7% | 38%±8% | 31%±7% a | 33%±9% | 31%±7% | 38%±10% | 30%±7% |
| Hid. carb. (g) | 441±175 | 411±143 | 435±193 | 418±159 | 479±196 | 453±148 | 439±101 | 451±182 | 424±126 | 506±158 | 457±154 | 389±169 |
| Hid. carb./peso (g/kg) | 6,9±3,3 | 7,3±3,0 | 6,6±3,2 | 6,8±3,0 | 7,2±3,5 | 7,6±2,9 | 6,5±1,7 | 6,6±3,1 | 5,7±1,9 | 7,5±2,8 | 6,4±2,2 | 5,1±2,2 |
| Hid. carb. (%En.) | 56%±13% | 54%±8% | 51%±8% | 54%±9% | 52%±12% | 56%±7% | 47%±9% | 54%±8% a | 53%±9% | 55%±6% | 47%±11% | 51%±13% |
MBR: metabolismo basal en reposo estimado; GET: gasto energético total estimado; Ing. En.: ingesta energética total; En./P.: ingesta energética total por peso corporal; Hid. carb.: hidratos de carbono.
a Diferencia estadísticamente significativa p<0,05.
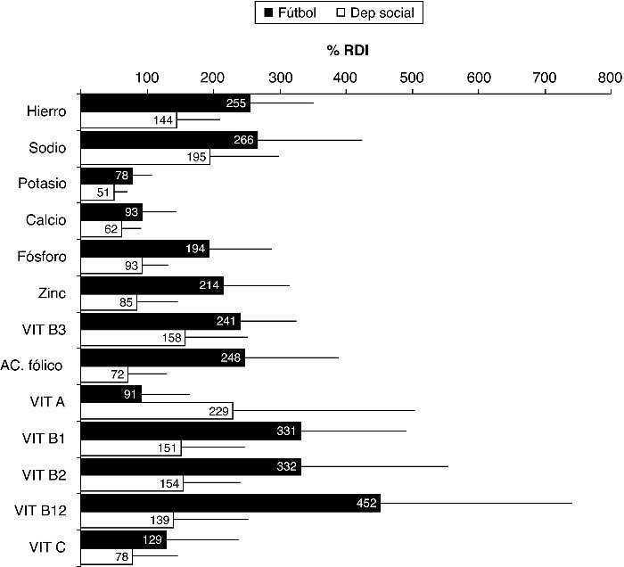
La ingesta fue superior en los jugadores de fútbol en todos los minerales y vitaminas analizados. La adecuación de la ingesta de micronutrientes de los futbolistas fue superior al 100% del RDI en todos estos micronutrientes excepto potasio, calcio y vitamina A, donde, en promedio, superaron el 75%.
Figura 1. Adecuación de ingesta de minerales y vitaminas. Los jugadores de fútbol (N=91) tuvieron valores superiores en todos los micronutrientes (p<0,05) que los adolescentes del proyecto Deporte Social (N=198). Las barras son media±1 desvío estándar.
Tipo de alimentos ( fig. 2 )Los jugadores de fútbol ingirieron más carne, grasas, lácteos, frutas y verduras que los adolescentes del proyecto Deporte Social, quienes, a su vez, ingirieron más almidones y azúcares.
Figura 2. Aporte energético proporcional al tipo de alimento en jugadores de fútbol (N=91) y adolescentes del proyecto Deporte Social (N=198).
Valores bioquímicos ( tabla 4 )Los valores promedio en las dos muestras analizadas revelaron estar en rangos de normalidad, aunque los jugadores de fútbol tuvieron valores en promedio más elevados para hemoglobina y hematocrito, pero menor colesterol e igual albúmina. La prevalencia de niveles bajos de hemoglobina (Hgb<13,0 g/dl) fue del 6,0% (4 casos) en los jugadores de fútbol, pero del 32,8% en los adolescentes del proyecto Deporte Social (60 casos). La hipercolesterolemia, definida como valores superiores a 200 mg/dl, se observó en 2 casos en los futbolistas (prevalencia del 3,2%), y en 22 casos en la muestra comparativa (prevalencia del 12,0%). No se encontraron casos de baja albúmina en los jugadores de fútbol, y sólo hubo un caso (prevalencia del 0,5%) en los adolescentes de Deporte Social.
Tabla 4. Valores de bioquímica (media±desvío estándar)
| Fútbol (N=67) | Dep Social (N=183) | |
| Eritrocitos (×1.000) | 4.957±313 | |
| Leucocitos | 6.963±1.494 | |
| Hemoglobina (mg/dl) | 14,2±0,9 | 13,7±1,3 a |
| Hematocrito (%) | 42,2±2,6 | 41,2±3,9 a |
| Glucemia (mg/dl) | 90,5±11,6 | |
| Uremia (mg/dl) | 31,2±7,6 | |
| Creatinemia (mg/dl) | 0,9±0,2 | |
| Ácido úrico (mg/dl) | 4,7±1,1 | |
| Colesterol (mg/dl) | 143,7±28,4 | 161,7±32,9 a |
| Albúmina (mg/dl) | 4,4±0,2 | 4,4±0,4 |
a Diferencia estadísticamente significativa p<0,05.
Catorce jugadores (15,4%) reportaron ingerir suplementos nutricionales. Los suplementos utilizados fueron: complejos vitamínicos (6 casos), polvos de proteína de suero de leche (5 casos) y aminoácidos (3 casos). Los suplementos fueron recomendados por médicos ajenos al club (7 casos), preparadores físicos (4 casos), padres (2 casos) y el representante (1 caso).
DiscusiónEl proceso de selección darviniano al cual se encuentran sometidos los jóvenes jugadores de fútbol que ingresan en clubes de elite garantiza, en cierta medida, que quienes queden elegidos posean capacidades técnicas y físicas superiores. Dicho esto, sería raro encontrar jugadores con desnutrición crónica o aguda, definidos por índices como ZTalla-edad y ZIMC-edad bajos, así como con sobrepeso u obesidad. Los resultados de este estudio así lo confirman. Los datos antropométricos de otros estudios publicados concuerdan con esta conclusión, a pesar de la insistencia de algunos autores en aseverar que la ingesta nutricional es inadecuada7, 9, 12. Si la ingesta nutricional fuese inadecuada, es probable que los parámetros antropométricos así lo reflejen, sumado al hecho de que también es poco probable que los mal nutridos sean seleccionados para las divisiones inferiores de clubes de elite. Podría ser útil, en estudios futuros, calcular y reportar estos indicadores antropométricos del estado nutricional como una información aportada por variables objetivas. La comparación de los futbolistas evaluados con la muestra de Deporte Social muestra, a su vez, que los jugadores tienen, en general, mayor estatura y masa muscular, y menor tejido adiposo.
El análisis de la ingesta nutricional presenta una importante limitación metodológica, que es el uso del recordatorio de 24 h como herramienta de evaluación8, 21. Las personas suelen tener una variación diaria importante de su ingesta22, además de la incapacidad de recordar adecuadamente alimentos y tamaños de porciones, y el sesgo que puede generarse cuando el encuestado desea complacer al entrevistador. El desvío estándar de la ingesta energética de los grupos de futbolistas y Deporte Social encuestados es cercano a las 1.000 kcal, aproximadamente el doble y triple que la misma estadística de dispersión en los estudios donde se utilizó el método de registro por pesaje4, 5, 7, 9, que no sólo pesan los alimentos, sino que también promedian lo ingerido en 3 a 7 días. Este incremento de la estadística de dispersión en la ingesta tiene, como contrapartida adicional, el efecto de licuar la potencia estadística de las pruebas de comparación, hecho por el cual las diferencias significativas entre los grupos analizados no fueron categóricas para energía y macronutrientes. El recordatorio de 24 h, de todos modos, puede resultar útil para caracterizar el promedio de ingesta de grupos de personas21, 23. En el presente estudio, los promedios de ingesta energética de los jugadores de fútbol se ubicaron entre 3.000 y 4.000 kcal, valores coincidentes con los publicados en la bibliografía descritos en la Tabla 1. La distribución de la ingesta de energía se inclina fuertemente hacia un gran consumo en almuerzo y cena, complementado con ingestas más frugales en desayuno, merienda y colaciones. Este patrón de ingesta difiere del reportado por Garrido et al9, en el cual los futbolistas españoles tenían una distribución más pareja a lo largo del día. Existe la posibilidad de que un patrón de ingesta energética mal distribuida en el día pueda comprometer el rendimiento físico y la composición corporal, como lo demostraron Deutz et al24 en un grupo de gimnastas y corredoras, aunque no hay datos sobre este efecto en jugadores de fútbol.
La proporción de macronutrientes de los jugadores de fútbol varió entre un 15 a 17% para proteínas, 31 a 38% para lípidos, y 47 a 56% para hidratos de carbono. Esta distribución implica ingestas proteicas y de grasas superiores y de hidratos de carbono inferiores a las recomendaciones2, aunque es similar a los datos reportados por colegas españoles4, 7, 9, franceses5 e italianos10 y diferente de los correspondientes a jugadores tunecinos11 y japoneses12, quienes reflejan una ingesta acorde a las recomendaciones. Es posible que el patrón cultural occidental de alimentación, con mayor aporte de proteínas y grasas, influya la nutrición de los deportistas europeos y argentinos, a diferencia de los orientales, que privilegian los hidratos de carbono. Las diferencias de macronutrientes entre futbolistas y adolescentes del proyecto Deporte Social no son claras, principalmente debido al mencionado problema de la amplia variabilidad de la ingesta medida con recordatorios de 24 h, aunque se vislumbra una tendencia a un mayor aporte proteico en los jugadores de fútbol. Lo que resulta más ilustrativo es el análisis del tipo de alimentos ingeridos, donde los adolescentes del proyecto Deporte Social consumen más almidones y azúcares, y menos carne, grasas, frutas, verduras y lácteos (Figura 2). A su vez, este tipo de alimentación a base de almidones y azúcares proporciona menos vitaminas y minerales, como detalla la Figura 1. Si bien la mayoría de los jugadores de fútbol en Argentina provienen de estratos socioeconómicos medios a bajos, donde la limitación del presupuesto impone un patrón alimentario con predominio de almidones (pan, arroz, fideos) y azúcares15, en este estudio los jugadores de fútbol reportaron ingerir mayores cantidades de carne, frutas, verduras y lácteos, todos alimentos más caros y más nutritivos. El porqué de este fenómeno es una incógnita, pero se puede especular que tal vez las familias de los futbolistas gozaban de un mayor ingreso económico que el supuesto afín a su condición social, o que existe cierta concienciación en estas familias de la necesidad de incorporar alimentos más nutritivos para optimizar el rendimiento. Como sólo 7 jugadores vivían en la pensión del club, y éstos no reportaron comer diferente de sus pares que vivían con sus familias, tampoco esta variable habitacional aporta respuestas.
El mayor margen de error de las encuestas nutricionales aparece en el análisis de ingesta de vitaminas y minerales22, donde son necesarios registros de hasta 28 días en un año para tener una estimación adecuada de la ingesta. Como consecuencia de este hecho, resulta poco válido calificar la ingesta de micronutrientes a partir de instrumentos de recolección de datos nutricionales de uno a 7 días. Otra salvedad de este análisis se debe a las limitaciones de la base de datos sobre componentes químicos de los alimentos en diferentes países. En Argentina, la base de datos de composición química de alimentos es incompleta, y las brechas se remedian utilizando datos del Departamento de Agricultura de Estados Unidos (USDA), como se hizo en el software SARA utilizado en este estudio. Finalmente, existen ciertas dudas sobre la confección de las recomendaciones nutricionales (RDI)25, como en el caso del calcio, donde el valor sugerido de 1.300 mg/día para adolescentes de 14 a 18 años26, 27 puede estar exagerado. Habiendo mencionado esto, los resultados de la ingesta de vitaminas y minerales indican en promedio un consumo adecuado, definido como superior a dos terceras partes del RDI. Se desconoce en la actualidad si los deportistas adolescentes tienen requerimientos de micronutrientes diferentes de los no-deportistas. Los jugadores de fútbol ingirieron, en promedio, más vitaminas y minerales que sus pares del proyecto Deporte Social (Figura 1), probablemente por lo mencionado con anterioridad: que el consumo de carne, frutas, verduras y lácteos proporciona más micronutrientes.
Los valores bioquímicos de los jugadores de fútbol reforzaron el concepto de su buen estado nutricional, al no presentarse casos de valores patológicos para los elementos evaluados. Es probable que los valores superiores de hemoglobina y hematocrito en los futbolistas se deban al mayor consumo de carne comparado con los adolescentes del proyecto Deporte Social, y los valores inferiores de colesterol, a su mayor cantidad de actividad física. Otros estudios publicados reportan valores hematológicos similares4, 9, con la excepción de Noda12, quien reporta valores sorprendentemente elevados de hemoglobina y de hematocrito en jugadores japoneses.
Sólo una minoría, el 15,4%, de los jugadores encuestados, usó suplementos nutricionales, principalmente multivitamínicos y proteínas, recomendados por médicos, preparadores físicos, padres, y hasta un representante. Si bien estos suplementos no están recomendados para estos deportistas juveniles por los consensos de expertos3, la prevalencia encontrada de utilización de estos compuestos no supone un problema mayor.
En conclusión, se evaluó el estado nutricional de jugadores de fútbol juvenil pertenecientes a un club de primera división, y se estableció que el estado nutricional es adecuado desde las ópticas antropométricas, nutricionales y bioquímicas. Al comparar los futbolistas con una muestra de pares no-deportistas, se constató que los futbolistas son más altos, con mayor masa muscular y menor adiposidad, e ingieren más carne, lácteos, frutas y verduras, y menos almidones y azúcares. A su vez, los valores hematológicos de los futbolistas fueron superiores a los de sus pares no-deportistas, mientras que los de colesterol fueron inferiores. Resta saber si la alimentación que realizan los futbolistas juveniles, que contiene menos hidratos de carbono y más proteínas y grasas que las recomendadas, a pesar de generar buenos parámetros de salud, es la adecuada para optimizar el rendimiento deportivo. Resultaría útil, en futuros estudios y en la medida que fuera posible, realizar seguimientos antropométricos longitudinales de este tipo de deportistas para poder analizar la velocidad de crecimiento28, como así cuantificar las cargas de entrenamiento que pueden impactar sobre la composición corporal29.
Conflicto de interesesLos autores declaran no tener ningún conflicto de intereses.
Agradecimientos
Los autores agradecen la colaboración del Dr. Alejandro Maríncola, Jesús Martínez, el cuerpo técnico de las seis divisiones juveniles del Club Huracán, los Dres. Horacio Cavaliere y Luis Seveso, y los antropometristas Valeria Casini, Sol Gallegos, Magalí de Santos, Javier Asz, Ana Marchesi, Marisol Pancino, Guillermo Bianchi y Mariana González.
Recibido 26 Julio 2010
Aceptado 4 Octubre 2010
Autor para correspondencia. fholway@hotmail.com





