Las personas con síndrome de Down (SD) muestran niveles inferiores de consumo de oxígeno pico (VO2pico) que las personas sin SD. El objetivo de este estudio fue evaluar los efectos del entrenamiento aeróbico sobre la condición cardiorrespiratoria en adolescentes con SD.
Material y métodosDiecinueve adolescentes con SD (10 chicas; 14±5.9 años) tomaron parte en el estudio. Mediante una prueba de esfuerzo máxima se evaluó el tiempo de ejercicio y pendiente alcanzada, y también los valores pico de consumo de oxígeno (VO2pico), la frecuencia cardíaca, el cociente respiratorio y la ventilación, al comenzar el estudio y a las 30 semanas de intervención. El entrenamiento se realizaba 2 días por semana, con 1h de duración y a una intensidad entre el 60 y el 75% de su VO2pico. Uno de los dos días practicaban deportes (atletismo, balonmano, fútbol, baloncesto o voleibol) y el otro, natación. Se usaron tests no paramétricos para evaluar las diferencias entre los momentos pre- y postentrenamiento.
ResultadosDespués del entrenamiento, los participantes incrementaron significativamente el VO2pico, la ventilación máxima y la pendiente máxima (todas p≤0,05).
ConclusionesLos adolescentes con SD son capaces de mejorar su condición cardiorrespiratoria mediante entrenamiento aeróbico de una duración e intensidad media.
Individuals with Down's syndrome (DS) show lower levels of peak oxygen consumption (VO2peak).
The purpose of this study was to evaluate the effects that an aerobic training has on adolescents and young adults with Down's syndrome.
MethodologyA total of 19 individuals (including10 girls; mean age; 14.0±5.9 years) participated in a six-month exercise training study. They practised sport-games (athletics, handball, football, basketball or volleyball) and swimming twice a week for one hour and at an intensity of between 60-75% of peak oxygen consumption (VO2peak).
ResultsFollowing training, our subjects significantly improved their VO2peak, ventilation and maximum slope (P≤.05).
ConclusionsAdolescents with DS are able to improve their cardiorespiratory fitness through aerobic training for a period of six months with average intensity.
El síndrome de Down (SD) es una condición genética que se origina por la presencia de una copia extra, completa o en parte, del cromosoma 211. Se han descrito más de 80 características clínicas en personas con SD, incluidos problemas cardíacos congénitos, presentes aproximadamente en el 40% de los casos1. Algunas de las características del SD pueden afectar a la práctica de ejercicio físico: hipotonía muscular, hipermovilidad e hiperlaxitud de las articulaciones, ligera o moderada obesidad, sistema respiratorio y cardiovascular poco desarrollado, baja estatura y brazos y piernas cortas en relación al tronco2, 3.
En general, las personas con SD tienen una condición cardiorrespiratoria deficiente, alcanzando valores más bajos de consumo de oxígeno pico (VO2pico) comparados con personas de su misma edad y sexo sin SD4, 5, 6. Además, se ha constado que la condición cardiorrespiratoria en la adolescencia puede condicionar la condición física en la edad adulta y los diferentes factores de riesgo asociados como hipertensión, hipercolesterolemia, etc.7.
Algunos autores creen que el VO2pico de las personas con SD podría estar limitado por el efecto amortiguador que ejerce la frecuencia cardíaca máxima (FCmax) sobre el gasto cardíaco8 que está determinado por el volumen sistólico y la FC. Así, una FCmax baja conllevaría valores bajos de VO2pico9.
Del mismo modo, las malformaciones en las vías respiratorias propias de los sujetos con SD producen una reducción de la capacidad cardiorrespiratoria y, por tanto, podrían limitar el VO2pico10.
Los bajos niveles de fuerza y masa magra y altos niveles de masa grasa podrían explicar también el bajo VO2pico de las personas con SD6, 11, 12, 13, 14.
El comportamiento sedentario propio de personas con SD como consecuencia de las patologías metabólicas, de la obesidad e incluso de la sobreprotección paterna es otro factor que podría afectar a su condición cardiorrespiratoria15, 16, 17.
En definitiva, la combinación de sedentarismo, baja FCmax, características anatomofisiológicas y composición corporal son algunos de los principales causantes de la baja condición cardiorrespiratoria de las personas con SD6, 18.
Está demostrado que los programas de entrenamiento aeróbico mejoran la capacidad cardiorrespiratoria en población sin SD19, 20, pero no se conoce con certeza el efecto que estos tienen en personas con SD6. Varios estudios han analizado el efecto de diferentes programas de entrenamiento en adolescentes y adultos con SD, obteniendo resultados poco concluyentes a este respecto. Por un lado, en adultos con SD, Rimmer et al.21, Mendonca et al.22 y Pitetti y Tan23 encontraron mejoras significativas en el VO2pico después del periodo de entrenamiento. Sin embargo, Millar et al.24 y Varela et al.25 no hallaron modificaciones significativas del VO2 de adolescentes y adultos jóvenes con SD después del entrenamiento.
Por tanto, el objetivo de este estudio fue determinar si los adolescentes con SD son capaces de mejorar su condición cardiorrespiratoria mediante un programa de entrenamiento aeróbico de dos sesiones semanales, de una hora de duración, durante 30 semanas.
MétodosParticipantesDiecinueve participantes (10 chicas) con SD, de entre 6 y 24 años, tomaron parte en el estudio. Tanto padres como participantes fueron informados sobre el objetivo y los procedimientos del estudio, así como de los posibles riesgos y beneficios de éste. Se obtuvo un consentimiento informado de todos los sujetos y de sus padres o tutores. El estudio se realizó de acuerdo con la Declaración de Helsinki de 1961 (revisión de Edimburgo en 2000) y fue aprobado por el Comité de Ética en Investigación del Gobierno de Aragón (CEICA).
Valoración antropométricaPara la determinación de las medidas antropométricas se utilizaron las normas, recomendaciones y técnicas de medición de la Sociedad Internacional de Avances en Cineantropometría (ISAK)26.
Todos los sujetos, descalzos y con la menor ropa posible, fueron pesados en una báscula con precisión 0,1kg (SECA 861, SECA, Hamburgo, Alemania) y medidos en un tallímetro con precisión 0,1cm (SECA 225, SECA, Hamburgo, Alemania).
Valoración de la condición cardiorrespiratoriaAntes de realizar la prueba de esfuerzo se llevó a cabo un reconocimiento médico-deportivo que incluía: anamnesis, electrocardiograma de reposo, presión arterial, exploración física y ecocardiograma. También se constató si tomaban medicamentos o sustancias que pudieran interferir en los resultados. Las pruebas se llevaron a cabo por las tardes y los sujetos no entrenaron el día anterior.
Todos los participantes realizaron una ergoespirometría en tapiz rodante (EnTred, Enrafnonius, Rotterdam, Países Bajos). Durante la prueba se midió el intercambio de gases mediante un espirómetro de circuito abierto respiración a respiración (MedGraphics, CPX/EXPRESS, Minnesota, Estados Unidos). Se registraron el VO2pico, la ventilación pico (VEpico) y cociente respiratorio (CR) como los promedios más altos obtenidos en periodos de 15 segundos. También se registraron estos parámetros en reposo, a 4kmh–1, 4,8kmh–1 y durante los 3 primeros minutos de la recuperación.
Para la realización de la prueba se siguió el protocolo propuesto por Fernhall4, comenzando a una velocidad de 3,2kmh–1 y 0% de pendiente, excepto en los sujetos menores de 12 años, en los que se comenzó con una velocidad de 2,8kmh–1. La velocidad se incrementó 0,8kmh–1 cada 3 min hasta alcanzar los 5,6kmh–1, y posteriormente se aumentó la pendiente del tapiz un 4% cada minuto hasta el final de la prueba.
Se recogió la frecuencia cardíaca durante la ergoespirometría mediante el registro de electrocardiograma de 12 derivaciones (Hellige, Servimed, Alemania).
Protocolo de entrenamientoEl entrenamiento consistió en 30 semanas, con dos sesiones por semana de una hora de duración, estructuradas en dos bloques: natación y diferentes deportes (atletismo, balonmano, fútbol, baloncesto o voleibol). La actividad estaba, en todo momento, adaptada a cada sujeto; trabajaron a una intensidad entre el 60 y el 75% del VO2pico, comprobado con pulsómetros (Polar® 810i). Había un monitor por cada 5 sujetos.
EstadísticaLos datos se muestran como media±desviación estándar (DE). Todas las variables ofrecían una distribución normal (test de Kolmogorov-Smirnov); sin embargo, debido al tamaño muestral se optó por realizar pruebas no paramétricas.
Se utilizó el test U de Mann-Whitney para evaluar las diferencias entre sexos y el de Wilcoxon-Cox para evaluar cambios entre los momentos pre y postentrenamiento.
Los análisis se realizaron con el paquete estadístico SPSS (versión 15.0 para Windows). Se tomó como nivel de significación p≤0,05.
ResultadosLos datos descriptivos de los participantes se encuentran en la Tabla 1. No se observaron diferencias significativas entre sexos.
Tabla 1. Características descriptivas de los participantes
| Preentrenamiento | Postentrenamiento | |||||
| Total n=19 | Chicos n=9 | Chicas n=10 | Total n=19 | Chicos n=9 | Chicas n=10 | |
| Media±DE | Media±DE | Media±DE | Media±DE | Media±DE | Media±DE | |
| Edad (años) | 14,0±5,9 | 13,3±4,2 | 14,7±7,2 | 14,6 * ±5,9 | 13,9 * ±4,2 | 15,2 * ±7,2 |
| Talla (cm) | 133,7±15,1 | 140,7±12,8 | 127,3±14,8 | 135,1 * ±14,9 | 142,6 * ±11,8 | 128,3±14,5 |
| Peso (kg) | 38,8±13,1 | 40,0±13,0 | 37,8±13,8 | 39,6 * ±12,2 | 40,6±11,7 | 38,7±13,1 |
| IMC (índice de masa corporal) | 21,1±4,2 | 19,7±3,0 | 22,4±4,8 | 21,2±3,9 | 19,6±2,8 | 22,7±4,3 |
* p≤0,05 entre preentrenamiento y postentrenamiento.
En la evaluación preentrenamiento los chicos obtuvieron valores más altos en VO2pico y velocidad máxima que las chicas (ambas p≤0,05; Tabla 2).
Tabla 2. Valores de condición cardiorrespiratoria preentrenamiento y postentrenamiento
| Preentrenamiento | Postentrenamiento | |||||
| Total | Chicos | Chicas | Total | Chicos | Chicas | |
| n=19 | n=9 | n=10 | n=19 | n=9 | n=10 | |
| Media±DE | Media±DE | Media±DE | Media±DE | Media±DE | Media±DE | |
| FC reposo (latidos/min) | 81±16 | 78±18 | 85±15 | 81±13 | 79±15 | 83±12 |
| VO2 en reposo (ml/kg/min) | 5,4±2,1 | 4,5±1,7 | 6,0±2,1 | 5,9±1,8 | 6,1±1,8 | 5,7±1,8 |
| Cociente respiratorio pico | 0,86±0,08 | 0,85±0,07 | 0,87±0,10 | 0,79#±0,05 | 0,79#±0,06 | 0,80#±0,04 |
| Tiempo máximo de ejercicio (min) | 17,1±3,5 | 17,8±3,7 | 16,5±3,4 | 19,3#±3,9 | 21,1#±3,9 | 17,7±3,2 |
| FC máxima | 158±19 | 161±14 | 155±23 | 164±13 | 166±12 | 1 61±15 |
| Ventilación máxima (l/min) | 33,9±16,7 | 34,5±17,2 | 33,5±17,3 | 38,7#±16 | 43,7±16,4 | 34,3±15,1 |
| FC tras 1 min de recuperación (lat/min) | 117±21 | 122±25 | 111±16 | 126±18 | 131±19 | 121±17 |
| Velocidad máxima (km/h) | 4,9±0,9 | 5,4 * ±0,7 | 4,5±0,9 | 4,9±0,8 | 5,3 * ±0,6 | 4,5±0,7 |
| Pendiente máxima (%) | 10,3±5,7 | 12,0±6,0 | 8,7±5,1 | 16,8#±5,6 | 19,8#±3,1 | 14,2#±6,1 |
* p≤0,05 entre chicos y chicas; # p<0,05 entre preentrenamiento y postentrenamiento; FC: frecuencia cardíaca; VO2: consumo de oxígeno.
Analizando la muestra completa, sin dividir por sexos, se observaron incrementos en el VO2pico, VEmax, tiempo máximo de ejercicio y pendiente máxima, y una disminución en el VO2 tras un minuto de recuperación y el CR comparando los momentos pre y postentrenamiento (todas p≤0,05; Tabla 2).
Los chicos, tras el entrenamiento, incrementaron el VO2pico, pendiente máxima y el tiempo máximo de ejercicio, mientras que disminuyeron el VO2 tras 1min de recuperación comparando con la evaluación preentrenamiento (todas p≤0,05; Tabla 2).
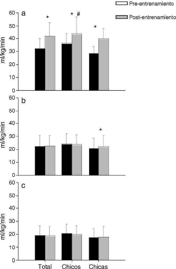
Las chicas, tras el entrenamiento, incrementaron el VO2pico, VO2 a 4,8kmh–1 y pendiente máxima, y disminuyeron su CR comparando con la evaluación preentrenamiento (todas p≤0,05; Tabla 2 y Figura 1).
Figura 1. Valores de consumo de oxígeno pico (a), a 4,8km/h (b) y a 4km/h (c). * p≤0,05 entre pre y post entrenamiento; # p<0,05 entre chicos y chicas.
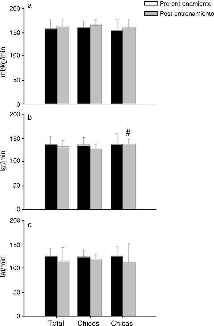
En la evaluación postentrenamiento, los chicos mostraron una velocidad máxima mayor y una FC a 4,8km/h menor que las chicas (ambas p≤0,05; Tabla 2 y Figura 2).
Figura 2. Valores de frecuencia cardíaca máxima (a), a 4,8km/h (b) y a 4km/h (c). # p<0,05 entre chicos y chicas.
DiscusiónEl principal hallazgo de este estudio es que los adolescentes con SD son capaces de mejorar su condición cardiorrespiratoria, incrementando significativamente su VO2pico, después de 30 semanas de ejercicio aeróbico.
Al tratarse de una intervención durante el crecimiento, los cambios antropométricos observados deben interpretarse teniendo en cuenta las modificaciones propias de esta etapa.
El VO2 es un indicador del estado cardiovascular y tiene una alta relación con la salud adolescente7 y la enfermedad en la edad adulta27. Existen notables diferencias entre los niveles de VO2 en personas con y sin SD; sin distinción de edad, los sujetos con SD muestran unos valores entre 25-35ml·kg–1·min–128, por los 45-55ml·kg–1·min–1 de los sujetos sanos sin SD29; nuestros participantes también tenían estos valores al comienzo del estudio. Estos valores se asocian a riesgo cardiovascular elevado7 y limitan la capacidad funcional de actividades cotidianas de las personas con SD30. Al finalizar los 6 meses de entrenamiento, nuestro grupo de adolescentes con SD incrementó significativamente un 30% el VO2pico hasta valores de aproximadamente 42ml·kg–1·min–1, cercanos a los de la población sin SD y considerados como saludables29, 31.
Las chicas con SD de nuestro estudio aumentaron casi un 40% su VO2pico frente al 20% que mejoraron los chicos; esto puede ser debido al bajo VO2pico inicial de la chicas, que por tanto tenían mayor potencial de mejora.
Además, los participantes de nuestro estudio mejoraron otras variables, como la VEmax (14%), el tiempo de ejercicio (13%) y la pendiente máxima (63%).
Todos estos datos concuerdan con lo observado por Rimmer et al.21 y Mendonca et al.22 en adultos con SD. Sin embargo, no todos los estudios realizados con personas con SD encuentran incrementos del VO2pico de sus participantes24, 25, lo cual puede deberse a las diferentes intensidades y duraciones de los programas de entrenamiento.
En cuanto a mejoras en el rendimiento, observamos una tendencia a la mejora en la FC con una disminución de la FC a 4 y 4,8km/h (7,9 y 2,9%, respectivamente) tras el entrenamiento tanto en chicos como en chicas, lo que nos indica una mejora de la eficiencia cardiovascular a cargas submáximas característica del tipo de entrenamiento propuesto.
En la misma línea que el estudio de Baynard et al.32, nuestros participantes mostraron una FC de reposo muy elevada (81 latidos/min), tanto al principio como tras el periodo de entrenamiento. Los sujetos con SD, a intensidades de ejercicio submáximas, marcan una FC elevada32, probablemente debido a que se ejercitan a una mayor intensidad relativa de ejercicio, que puede ser consecuencia del desacoplamiento del sistema vegetativo que altera los mecanismos de regulación de la FC28, 33, 34. Estas altas FC submáximas contrastan con las bajas FCpico, que alcanzan 164 latidos/min, probablemente debido —como señalan Guerra et al.— a su incompetencia cronotrópica.
El 14% de incremento en la VEmax de nuestros participantes muestra semejanzas con los datos de Mendonca (30%)22 a la vez que difiere de los de Millar et al.24, que únicamente encontraron una tendencia de mejora en la VEmax.
Diferentes autores opinan que las mejoras obtenidas tras el entrenamiento se deben en gran parte a factores externos como la familiarización con las pruebas, el aumento de la paciencia24, la reducción de la ansiedad35, la mejora de la eficiencia de carrera o al aumento de motivación ante el ejercicio a una intensidad elevada36. En nuestro estudio los adolescentes visitaron previamente el laboratorio y experimentaron con todas las pruebas, por lo que el posible efecto de familiarización se atenuó o desapareció antes de realizar la ergoespirometría.
La limitación principal de este estudio es la falta de un grupo control, lo que no nos permite demostrar que las mejoras observadas son únicamente consecuencia del entrenamiento y no debidas a los cambios fisiológicos ligados al desarrollo. Sin embargo, se ha comprobado que el VO2 de los niños no mejora con el crecimiento si son sedentarios37.
Es posible que con un periodo de entrenamiento aeróbico más prolongado y/o intenso se alcancen los 42ml·kg−1·min−1, límite inferior en los sujetos sin patología, pero se necesitan más estudios y con intensidades de ejercicio más altas para verificar este supuesto. Son necesarios más estudios con adolescentes con SD en los que se apliquen programas de ejercicio físico de mayor duración y en los que se lleven a cabo entrenamientos a diferentes intensidades para comprobar si esta hipótesis se cumple.
ConclusiónLos adolescentes con SD son capaces de mejorar su condición cardiorrespiratoria tras 30 semanas de entrenamiento aeróbico con dos sesiones por semana a una intensidad entre el 60-75% del VO2pico, incrementando un 30% su VO2pico y alcanzando valores cercanos a los considerados como saludables para población sin SD.
Conflicto de interesesLos autores declaran no tener ningún conflicto de intereses.
Agradecimientos
Los autores agradecen a todos los participantes y a sus padres la participación y dedicación a este proyecto. El trabajo ha sido subvencionado por Gobierno de Aragón (Proyecto PM 17/2007) y por el Ministerio de Ciencia e Innovación de España (Red de investigación en ejercicio físico y salud para poblaciones especiales-EXERNET-DEP2005-00046/ACTI).
Recibido 25 Abril 2011
Aceptado 30 Junio 2011
Autor para correspondencia. joseant@unizar.es





