The aim of this study was to evaluate various physical parameters and their relationship with shooting velocity in female rink hockey players. Eight female players (age: 24.8 ± 3.88 years, body mass: 62.6 ± 4.67 kg, height: 167 ± 0.04 cm) were measured, weighted and tested for thoracic spine range of motion, spine rotational strength, chop, lift, bench press, and handgrip. Shooting velocity of each participant was measured for both slap and backhand shots. Results showed a significant correlation between slap shot velocity and body mass (r = 0.76; p = .02; ICC 0.1338 - 0.9532), spine rotation strength to the right with body weight (r = 0.76; p = .04; ICC 0.0368 - 0.9638) and with 79 % of body weight (r = 0.84; p = .01; 0.2374 - 0.9759). Interestingly, backhand velocity showed a strong correlation and a close to significant p-value with bench press power at 25 kg (r = 0.70; p = .054; ICC -0.0141 - 0.9401), 30 kg (r = 0.53; p = .097; ICC - 0.1415 - 0.9233) and 35 kg (r = 0.63; p = .10; ICC -0,1568 - 0.8596). Similar results were observed with the estimated one repetition maximum for the bench press (r = 0.67; p = .077; ICC -0.0892 - 0.9307). Results suggested that including exercises to strengthen the torso rotation muscles and upper extremity strength could improve shooting velocity in female rink hockey players.
Rink hockey (RH) is an indoor sport played by two teams of four players and one goalkeeper on a 40 × 20 m court. Players use a stick to control, dribble, pass or shot while they are skating on a two pairs of parallel wheel skates and interact with their teammates and opponents.1 In RH, as in other team sports such as floorball,2 ice hockey,3 field hockey (Prasetyo, E, 2019), the shot is the main technical action used to score.1,4 The two most commonly used shooting techniques in RH are the slap shot (SL) and the backhand (BH) shot.4–6 BH stroke designation is more appropriate than the drive shot used in previous studies due to the resemblance of this movement to ice hockey technique of the same name.
In the SL stroke, as shown in Fig. 1, the stick is held with both hands, the dominant hand on top and the other hand lower down the stick with the forearm supinated and the palm facing the target, the torso and shoulders should rotate towards the dominant hand side.5
In the BH, the shoulders and torso rotate towards the trailing arm, which is crossed in front of the body with the forearm pronated and the back of the hand facing forward (Fig. 2). According to Moreno4 twenty per cent of goals are scored using SL shots, while another ten per cent result from BH shots. Other technical actions contributing to goal scoring include first-touch finishes, wrist or snap shots, dribbling, amongst others.
Studies investigating rotational sports such as the various hockey shot modalities, including rink, field, floor, and ice hockey, have primarily focused on shooting velocity (SV). The analysis of these sports involving similar throwing or striking movements revealed that, in order to score a goal, the ball must be released with minimal movement, maximum precision, and high velocity (Michaud-Paquette et al., 2009), making it difficult for the opposing goalkeeper to react and stop.7,8 Kinematic studies have shown that shot or throwing techniques adhere to the kinetic link principle.7 This principle has been described as the transfer of kinetic energy from one segment to the adjacent segment in a proximal-to-distal sequence. To achieve maximum angular velocity when striking the ball, athletes rotate their trunk in an oblique plane which accelerates the distal end effector.7,9 When analysing the different hockey modalities, the velocity of the ball is influenced by multiple factors. These include anthropometric characteristics in field and ice hockey3,10; stick composition in RH and ice hockey,3,11,12 and player strength in RH and ice hockey,3,5,10,13,14 Additionally, shooting technique is a key determinant in RH and ice hockey,3,5,8;while trunk rotation and obliquity during the loading phase or backswing are particularly relevant in floor and ice hockey.2,8,15
The interest of the scientific community in rink hockey has increased over the last decade, as reflected in recent studies exploring various aspects of the game—such as the role of the goalkeeper,16 contextual match variables and the influence of set-pieces.17 However, despite this growing attention, rink hockey remains an under-researched sport, particularly regarding shooting performance and the female category. The first aim of the present study was to evaluate the anthropometric characteristics, spine range of motion, and muscle strength and power in upper extremities and trunk in elite female hockey players. The second objective was to examine potential correlations between shooting ball velocity and the physical parameters measured.
MethodologySubjectsA descriptive and correlational study was conducted with eight right-handed caucasian world-class (McKay et al., 2022) female RH players from Spain (age = 24.8 ± 3.88 years, body mass (BM) = 62.6 ± 4.67 kg, height 167 ± 0.04 cm) . The study was approved from the Local ethics committee (210/2022), all subjects participated voluntarily in the evaluation and signed an informed consent form. These athletes train 8 to 12 h weekly and compete in the main teams of the most prestigious rink hockey leagues17 and participated with their National Team in the 2022 World Championship in Argentina. Given the nature of the sample—comprising a predefined and limited group of elite athletes—no random sampling or sample size calculation (e.g., via G*Power) was performed. As such, results should be interpreted with consideration to the specificity and potential lack of generalizability to broader populations of RH players.
Data collectionThe assessments were carried out on two separate days. On the first day, the range of motion, strength and power tests were conducted in the gym facility whereas, on the second day, shooting speed was performed on the rink. Spine mobility and strength measurements were performed after a general warm-up with mobility and core activation exercises led by a strength and conditioning coach. The participants were divided into four groups for evaluation where an expert trainer assessed each exercise. After completing each exercise, participants moved on to the next available station, following no fixed sequence.
Thoracic spine range of motion (TSROM) was assessed in a seated position using a mobile application, Compass app Apple Pty Limited (United States), a tool with high intra-rater reliability (ICC = 0.96–0.98).18 Measurements were taken with an iPhone 7 ® positioned at the T1–T2 spinal level. Participants were seated on a stool with their feet flat on the floor and their knees and hips flexed at a 90-degree angle. To minimize involvement of the hips and upper limbs, participants held a ball between their knees and a wooden bar at acromioclavicular level, with their arms crossed over their chest.18 The degrees of spine rotation were recorded during three active rotations of the thoracic spine to each side while maintaining a neutral spine throughout the entire movement. The starting side of the assessments was alternatively stipulated. The average value was used for subsequent data analysis.
Spine rotation strength (SRS) and power was evaluated with an encoder (Chronojump-Boscosystems) attached to a torso rotation machine (MedX, Kieser Training AG Hamburg, Germany). Participants were seated with both, lower extremities and pelvis locked, while their arms held the padded support in order to isolate the movement to the trunk rotator muscles. Each participant completed three consecutive repetitions on each side using their body weight (BW) as a resistance. Following a two-minute recovery period, the participants performed a second set of three consecutive repetitions on each side with a resistance equivalent to 79 % of their body weight, which was calculated as their body weight minus the weight of one leg.19 Participants were instructed to execute a fast and controlled movement. The average value was used for subsequent data analysis.
The Chop (CH) and Lift (LF) exercises were used to assess trunk and upper limb strength in a rotational diagonal pattern. Both exercises demonstrated high reliability, with intraclass correlation coefficients of 0.87–0.98 for chop and 0.83–0.96 for lift.20 These exercises were employed to assess trunk and upper extremities power in a rotational diagonal pattern. A Keiser pneumatic Infinity machine (Keiser, Fresno, CA, USA) was utilized to assess these movements. Participants performed three consecutive repetitions of a half-kneeling chop on the machine using 15 % of their bodyweight on each side. Following a two-minutes rest, they performed three repetitions of a half kneeling lift using 12 % of their body weight.21 The average value of these repetitions was used for subsequent data analysis.
Upper body strength was measured with handgrip (HG) and the bench press (BP); both methods were used previously in studies on ice hockey13 and, more recently, on male RH players.6,22 BP was evaluated with an encoder (Chronojump-Boscosystems) attached to the bar so as to measure the speed of execution and power output. Participants started the test with an Olympic bar (20 kg) and completed three full repetitions. After a two-minute rest, the weight was increased by 5 kg for each subsequent set, as long as the mean speed was ≤ 0.5 (Balsalobre-Fernández, C.; Torres-Ronda, 2021). The average value was used for subsequent data analysis. The bench press one repetition maximum (1RM) was also estimated using a multi-point lineal equation as proposed by Janicijevic et al. (2021).
Handgrip strength (HGS) was performed using a digital adjustable handgrip dynamometer (Saehan DHD-3, Saehan Corp. Changwon, South Korea). Participants held the dynamometer with their forehand in a neutral position and their arm adducted, without touching their body. Each hand was measured twice with a two-minute rest period between attempts. The participants were instructed to squeeze the dynamometer as tightly as possible. The average value was used for subsequent data analysis.
Shooting ball velocity was measured with a Stalker ATS II radar (Plano, Texas, USA) during a training session on a rink. Participants performed six stationary penalty strokes, three SL shots, and three BH shots, with a thirty-second rest between each repetition. The rest between both techniques was of ten minutes. The players were instructed to shoot as powerfully as possible into the centre of the goal. The radar was placed 3 m behind the goal. The average value was used for subsequent data analysis.
Statistical analysisDescriptive statistics, mean ± standard deviation (SD), maximum values and percentages (%) were presented for most of the variables. Shapiro - Wilk tests were applied for data normality. The relationship between the different shot techniques and every exercise were determinate by using Pearson correlation coefficient. The strength of the correlations was categorized as 0.00–0.19 very weak; 0.20–0.39 weak; 0.40–0.59, moderate; 0.60–0.79 strong; 0.80–1.0 very strong (Hopkins et al., 2009). To compare the performance between right and left on unilateral exercises a student t-test for paired variables was used. The significance level for all the tests was set at p ≤ 0.05. The within-subject reliability of test measures (intrasession repeated efforts) was analysed using a two-way random intraclass correlation coefficient (ICC) with 95 % CI and a coefficient of variation (CV). For interpretation, ICC values were >0.9 excellent, 0.9–0.75 moderate, and >0.5 poor,23 and CV values were considered acceptable if <10 % (Cormack et al. 2018).All statistics were conducted using Jasp 0.16 (Amsterdam University, Amsterdam).
ResultsThe mean values, standard deviation, mode, minimum and maximum for the anthropometric measurements (weight (BM) and height (H)), TSROM, power assessments for SRS, CH, LF and BP, along with the estimated 1RM for the BP and shooting velocity, are presented in Table 1.
Mean and standard deviation, mode, minimum and maximum results for all measurements1.
All unilateral exercises results are presented on Table 2. Participants exhibited a right lateral preference, with slightly higher results to the right side for TSROM, CH, LT and SRS with BW (percentages 16 %, 12 %, 10 % and 3 % respectively). However, a slight predominance of the left side was obtained for SRS with 79 % BW (Table 2). One participant was unable to complete the SRS evaluation due to discomfort, resulting in the loss of data for that exercise.
Paired Samples T-test for all unilateral test.
Thoracic spine range of motion (TSROM), chop (CH), lift (LF), spine rotation strength (SRS) and hand grip (HG).
Intra-session reliability measures is shown in Table 3. It was excellent or good for most of the variables showing ICC>0.84 and CV < 5 %, except for the non-dominant arm (left) in the MEDX tests that showed moderate ICCs and a bit higher CVs (7 %−11 %).
Intra-session reliability measures and coeficient of variation (CV).
Thoracic spine range of motion (TSROM), chop (CH), lift (LF), spine rotation strength (SRS) and hand grip (HG).
SL mean velocity was 84.28 km/h (SD ±5.13) and the highest SL recorded velocity was 90.2 km/h. BH mean, and maximum speed were lower, 75.85 km/h (SD ±6.42) and 86 km/h respectively.
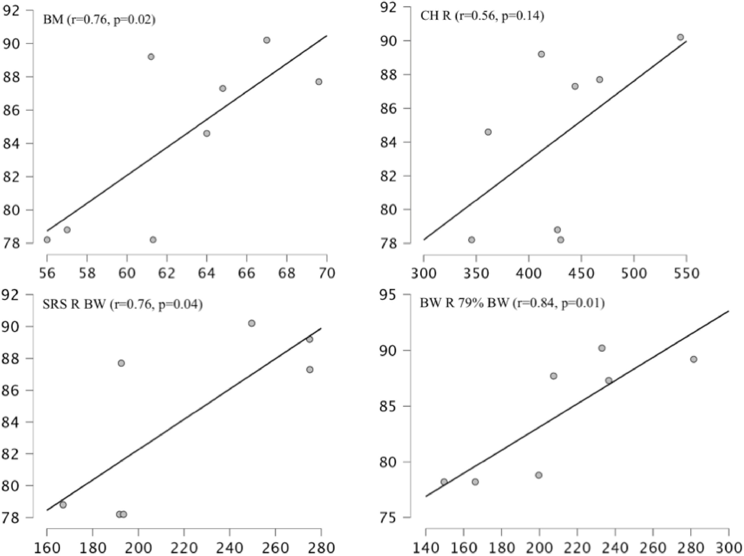
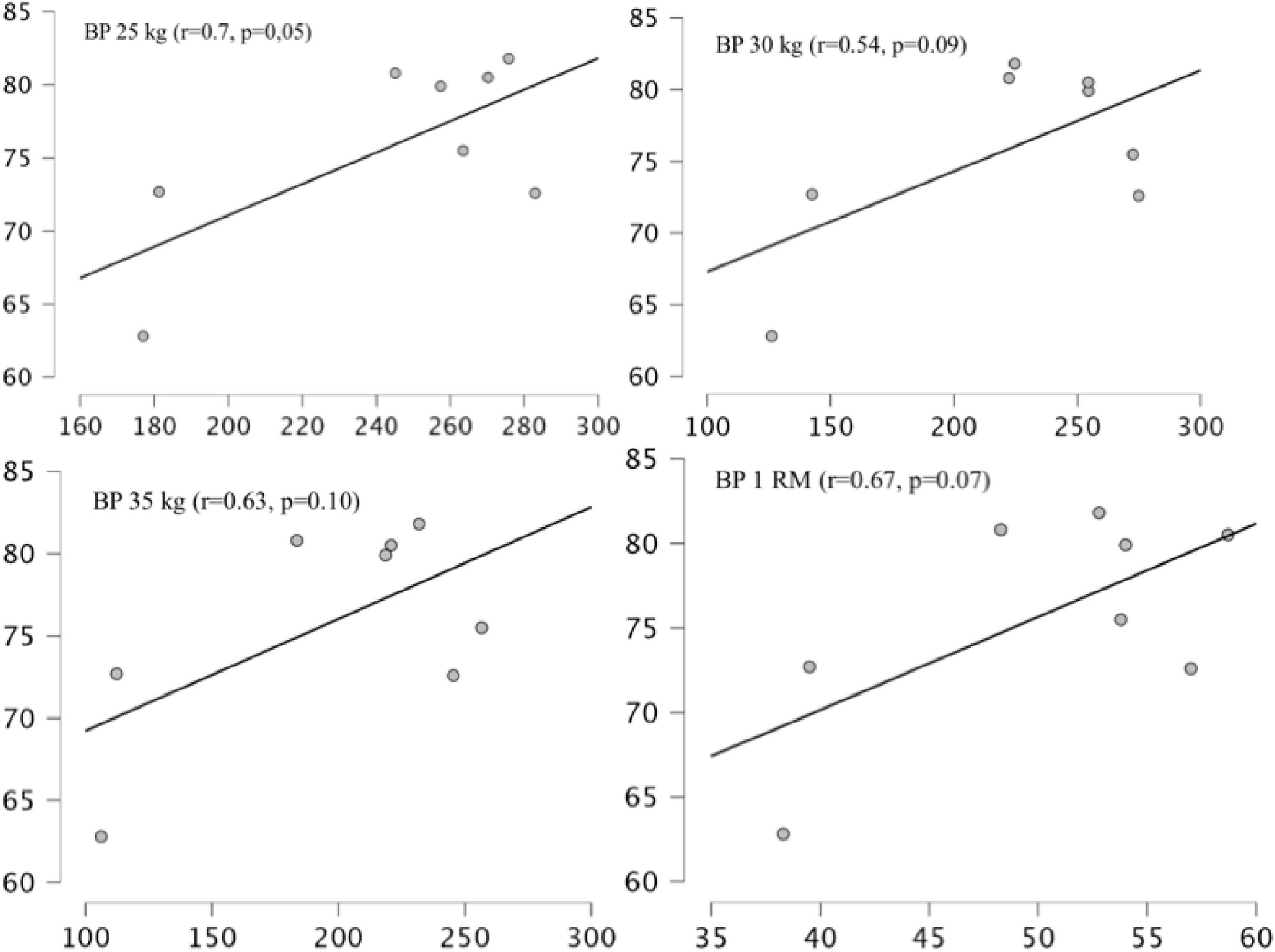
Correlations plots between SL and BH shot velocity and the most significant physical performances measurements are displayed on Fig. 3 and 4 respectively.
Strong and significant correlations were found between the SL shot and BM (r = 0.76; p= .02; ICC 0.1338 - 0.9552) and SRS rotation to the right with body weight (r = 0.76; p= .04; ICC 0,0368 - 0,9638). The correlation between SRS 79 % BW and SL velocity was very strong and significant (r = 0.84; p= .01; 0.2374 - 0.9759) (Fig. 3).
Moderate correlations were observed between the SL and TSROM (r = 0.49; p= .21; ICC −0.3265 - 0.8884) and CH (r = 0.56; p= .26; ICC (−0.2281 - 0.9088) to the right.
On the other hand, moderate correlations were observed between BH shooting and BM (r = 0.42; p= .29; ICC (−0.4026 - 0.8683), as well as left side CH (r = 0.40; p= .32; ICC (−0.4233 - 0.8645) and SRS with 79 BW (r = 0.56; p= .56; ICC −0.3294 - 0.9243).
The BP power measures exhibited a strong correlation with the BH shot speed, with the 25 kg power (r = 0.69; p =0.05; ICC (−0.0141 - 0.9401), 30 kg (r = 0.62; p= .09; ICC (−0.1415 - 0.9233) and 35 kg (r = 0.69; p= .1; ICC −0.1568 - 0.9209) (Fig. 4). Additionally, the estimated 1RM also demonstrated a strong correlation with BH (r = 0.65; p= .07; ICC −0.0892 - 0.9307) (Fig. 4).
DiscussionThe aim of this study was to examine the relationship between physical attributes and anthropometric characteristics and muscular performance in relation to ball velocity in slap (SL) and backhand (BH) shooting techniques. The aforementioned lack of research in RH has led us to compare with other rotational sports. The movement pattern and grip of a right-handed SL shot in RH is consistent with a right-handed backhand tennis stroke or a left-handed slap shot in ice hockey, as well as a left-handed golf swing or a baseball/softball/cricket bat swing.24 No studies have been conducted on BH strokes in sports other than tennis, making comparisons difficult.
The shooting mean speed results obtained from this study of female elite players were 84.28 km/h for SL and 75.85 for BH. As expected, the speed achieved with the SL was higher than with the BH, since the SL is the most commonly used shooting technique.4,5,6,25 These results are lower than those reported in previous studies with elite male players, where the average ball speed for the SL ranged from 90.3 to 109.0 km/h, and for the BH ranged from 84.33 to 107.0 km/h.6,12,25 Differences in shooting speed were also found between male and female players in ice hockey3 and field hockey.26 These differences could be attributed primarly to variations in body size,3,26 strength,3 and gender characteristics.26 The disparity in shot speed can be ascribed to variations in technical execution observed between males and females.27,28
The correlation values obtained between SL shot speed and BM (r = 0.76) were similar to those reported for a slap shot in elite female ice hockey players (r = 0.72)3 and were higher than a most recent study for a slap shot in male professionals' ice hockey players (r = 0.26).13 Baiget et al.29 also reported a strong correlation between body mass and tennis serve speed.
SL and BH shots require a backswing phase, during which the torso and arms rotate away from the ball to prepare the shot. This movement is followed by a downswing phase to hit the ball. The relationship between trunk rotation and pelvic rotation during the backswing has been identified as a contributor to wrist shots in ice hockey and floorball strokes.2,15 The initial rotation away from the target (backswing) increases the eccentric load on the trunk muscles. Muscle energy generated during the backswing is transferred through the kinetic chain during the downswing to generate distal implement velocity.15 The amplitude of rotation between the trunk and pelvis, known as X-factor, was the most important predictor of ball speed in golf and floorball.15,30 TSROM results showed a 16 % of difference (p=.008) between the right and the left side, 46.72° vs. 39.7°. Krzykala et al31 also found a 6 % asymmetry in thoracic rotation to the dominant side in field hockey players. This author believes that the cause of such asymmetries is the playing posture, the way the stick is held and the predominance of one technical action over the other. A moderate correlation (r = 0.41) was observed between TSROM to the right the side of FH rotation, also known as dominant side. A non-significant correlation was found between TSROM to the left side and BH.
The downswing phase, which can improve stick velocity, has been linked to the strength of spinal rotation muscles and arms.7,14 Assessments of spinal rotation strength have been carried out using specialized machines such as Cybex,32,33 Biodex,34 and Medex.35 The SRS power measured was 3 % higher on the right rotation with the BW, whereas the rotation with 79 % of BW was 2 % higher to the left. The values obtained in previous studies were higher on the dominant side as it has been observed with the rotation with the BW. However, in female tennis players registers were better on the non-dominant side,32 as it has been found in this study with 79 % BW. Rotation to the right exhibited a significant correlation with the SL in both the BW (r = 0.77; p= .04; ICC 0.0368 - 0.9638) and with 79 % of the BW (r = 0.84; p= .01; 0.2374 - 0.9759). However, Torres - Ronda and Soler (2010) did not find any correlation between rotational spine strength with MedX and swing velocity in professional male and female golfers, despite obtaining higher power measurements. Caution must be used when interpreting and using those MedX testing, since changes over time may not be present and just noise or variation. Another option would be to have greater familiarisation sessions for that test should be used.
The CH and LF have been used as a training and evaluation tools in golf, tennis, and cricket due to the resemblance of the movement patterns to those observed in these sports.21,30,36 The power obtained by the female hockey players in the CH were comparable to those observed in professional cricket players, 429 w vs. 419 w, while the LF scores were slightly higher in this study than in the cricket study, 320 w vs. 290 w.21 These findings revealed moderate correlation between SL and right CH (r = 0.56), as well as moderated correlation between BH and LF to the left (r = 0.52) without significant p-values.
Handgrip strength HGS is considered important for implement sports because the hand provides direct physical contact with the stick during all technical skills.31 Wu et al.3 analysed the relationship between HGS and SV in ice hockey for females whereas Bežák and Přidal13 conducted the same analysis with males, both found a correlation between HGS and SV. Kryzykala et al31 study revealed slightly greater grip strength of the right hand that the left (3.1 %). However, the present study revealed no significant difference between the grip strength between both hands and no correlation between HGS strength and the SV despite obtaining comparable values (37.6 kg vs. 40 kg) to those obtained by Wu et al.3 Previous studies conducted on male elite RH players have reported slightly higher mean values for handgrip with the right hand measuring 50.9 ± 6.26 kg and the left hand 50.3 ± 6.23 kg.22
The BP exercise is commonly used to evaluate upper limb strength, specifically targeting the pectoralis major, which is activated during the slap shot in ice hockey37 and the golf swing.38 Previous research has found correlations between BP and SL in RH male players5 and in male and female ice hockey players.3,13 Despite these results and the common belief that the SL technique in RH requires more upper limb involvement than the BH, which requires greater rotational movement,6 the current study found no correlation between BP and SL. Conversely, strong correlations values were found with a close to p-value significance level between the BH technique and BP with 25 kg (r = 0.7; p= .05; ICC −0.0141 - 0.9401), with 30 kg (r = 0.63; p = .09; ICC −0.1415 - 0.9233), and the estimated 1RM (r = 0.67; p= .07; ICC −0.0892 - 0.9307). Such difference between these findings and the preceding results obtained on male RH players,5 may well stem from higher level of professionalism in male teams, in comparison to the female teams, as well as to the aforementioned differences in terms of strength and gender qualities. The correlation between BH and BP may be attributed to the restricted spinal rotation caused by the hand position on the stick, reducing the backswing range of motion. According to Bulbulian (2001), a shorter backswing in golf leads to increased activation of the shoulder muscles and reduced forces on the spine without compromising speed. Neither BM nor TSROM appeared to have a significant correlation with BH shot.
ConclusionsThe findings of the present study suggested that slap shot performance in elite rink hockey players is significantly influenced by body mass with additional contributions from trunk rotation and upper limb power, particularly through exercises combining both such the chop. Additionally, the backhand stroke showed a potential association with upper extremity strength, underlining the relevance of targeted strength training for both shooting techniques. Training should included exercises targeting the core and upper limbs, as well as specific movements that replicate the diagonal pattern used in shooting, such the chop, without leaving aside the optimisation of technical training.
The value of these results lies in the exceptional level of the participants, who are among the world’s top female rink hockey players. Although the small sample size represents a limitation, the elite status of the athletes provides valuable insights into the physical determinants of performance at the highest competitive level. Further studies involving a larger cohort of similarly skilled players are needed to confirm these findings, while recognizing the limited pool of world-class female athletes.
Future research should incorporate electromyography (EMG) to analyse muscle activation patterns during shooting actions, along with 3D biomechanical analyses to better understand the kinematic contributions of each body segment to shot execution. Such information would be useful for coaches and practitioners in designing training programs that not only enhance performance but also contribute to injury prevention in elite rink hockey players.
The authors declare no conflicts of interest relevant to the content of this manuscript. This research received no specific grant from funding agencies in the public, commercial, or not-for-profit sectors.
We, the authors, are responsible for the research designed and carried out; we have drafted and revised the submitted manuscript, whose contents we all approve. Moreover, we confirm that the article meets all the requirements of co-authorship as specified in the Authorship Guidelines (see author’s contribution statement at the end of the cover letter). We hereby declare that this work is original and has not been published previously, nor is it under consideration for publication elsewhere. Finally, the authors declare no conflicts of interest relevant to the content of this manuscript. This research received no specific grant from funding agencies in the public, commercial, or not-for-profit sectors.









