El objetivo del trabajo fue determinar en los deportistas con IMC en rango de obesidad la relación entre índices de adiposidad y grasa corporal estimada por antropometría y establecer cuáles serían los más válidos para esta población.
Se realizó un estudio retrospectivo de los deportistas con IMC igual o mayor de 30 kg/m2. La muestra fue de 173 deportistas (151 varones y 22 mujeres), edad de 23,3 ± 4,9 años, con 9,8 ± 5 años en competición y un entrenamiento de 16,6 ± 7,1 h/semana. El protocolo incluyó 15 variables y se calcularon los índices antropométricos relacionados con la adiposidad y la grasa corporal. Mediante las curvas ROC, se comprobó el grado de exactitud diagnóstica en relación con la obesidad (porcentaje de grasa elevado).
Las variables antropométricas con mayor área bajo la curva fueron los pliegues cutáneos, y de estos el supraespinal (IC 95%: 0,889-0,974) con un punto de corte de 21 mm. Seguidos del perímetro de abdomen en relación con la talla (IC 95%: 0,784-0,916) con un punto de corte de 0,57. De los deportistas, el 72% hubieran sido mal catalogados de obesidad por su IMC, estableciéndose que hasta un IMC de 32,8 kg/m2 en varones puede considerarse como sobrepeso debido predominantemente a su componente magro o libre de grasa.
Para diagnosticar la obesidad en los deportistas, la grasa corporal debe ser estimada mediante la toma de los pliegues cutáneos o, en su defecto, mediante la medición de la circunferencia de cintura en relación con la talla.
The aim of this paper is to examine athletes whose BMI is in the obesity range, and to determine the relationship between their adiposity indices and their body fat measured by anthropometry, while establishing which would be the most valid for this population.
A retrospective study was carried out on athletes with a BMI of 30 kg/m2 or higher. The sample consisted of 173 athletes (151 males and 22 females), aged 23.3 ± 4.9, with 9.8 ± 5 years in competition, training 16.6 ± 7.1 hours/week. The protocol included 15 variables and the calculation of anthropometric indices related to adiposity and body fat. ROC curves were used to check the level of diagnostic accuracy in relation to obesity (high fat percentage).
The anthropometric variables with the greatest area under the curve were skinfolds and, in particular, supraspinale skinfolds (95% CI: 0.899-0.974), with a cut-off point of 21 mm. These were followed by waist circumference to height ratio (95% CI: 0.784-0.916) with a cut-off point of 0.57. As many as 72% of the athletes would have been wrongly classified as obese by their BMI. It was established that a BMI of up to 32.8 kg/m2 may be considered as overweight for males, mainly due to their lean or fat-free mass.
In order to diagnose obesity in athletes, body fat should be assessed by means of skinfold measurements or, failing that, by measuring waist circumference to height ratios.
El índice de masa corporal (IMC), peso corporal en relación con la talla al cuadrado, es un índice antropométrico ampliamente utilizado en el diagnóstico de obesidad y forma parte de los criterios para estimar el riesgo cardiovascular. El valor a partir del cual se considera obesidad es de 30 kg/m2. Mientras que en la población general este índice tiene gran validez, en la población deportista plantea dudas debido a que incluye el peso corporal total, es decir la suma tanto del componente graso como del componente magro; recordemos que obesidad se define como una acumulación anormal o excesiva de grasa que puede ser perjudicial para la salud1. En la persona que practica deporte se va a producir una hipertrofia del músculo esquelético de menor o mayor grado dependiendo fundamentalmente de su modalidad y nivel de entrenamiento2, 3, que puede ir acompañada o no de una pérdida de grasa corporal. Por tanto, un deportista puede tener un IMC elevado y sin embargo, no tener un exceso de grasa corporal peligrosa o ser esta sobrevalorada si se aplica la clasificación clásica.
Además del IMC se han definido otros índices antropométricos para mejorar el diagnóstico de obesidad como son el índice de conicidad4, índice de forma corporal5 y los perímetros corporales de cintura, cadera, muslo y su relación entre ellos o con la talla, con los que se estima la grasa y su localización central o periférica6. Diferentes puntos de corte se han establecido según su asociación con la mortalidad cardiovascular y global en estudios longitudinales7, 8. Un problema añadido es la distinta estandarización de algunas de las medidas, como el perímetro de cintura, que puede ser tomado a diferentes niveles del abdomen9.
La antropometría estima la grasa corporal mediante ecuaciones de regresión elaboradas a partir de los pliegues cutáneos, basándose en la relación existente entre la grasa subcutánea y la grasa visceral. Para la población deportista Withers et al.10, 11, desarrolló una ecuación específica tomando como patrón de referencia el pesaje hidrostático. El problema radica cuando existe un gran exceso de grasa subcutánea, ya que la medición de los pliegues cutáneos puede ser difícil o técnicamente imposible.
El objetivo del trabajo fue determinar en los deportistas con IMC en rango de obesidad la relación entre los índices de adiposidad y la grasa corporal estimada por antropometría y establecer cuáles serían los más válidos para este tipo de población.
Material y métodosSe realizó un estudio retrospectivo y observacional de los deportistas que acudieron a nuestro centro entre los años 1993 a 2015, seleccionando los que cumplieran los siguientes criterios: IMC igual o mayor de 30 kg/m2, edad mayor de 16 años y caucásicos. De estos se excluyeron diez deportistas a los que no se les pudieron medir la totalidad del perfil de pliegues cutáneos (cinco mujeres y cinco varones). La muestra quedó constituida por 173 deportistas, 151 varones y 22 mujeres, con una edad media de 23,3 ± 4,9 años, que llevaban 9,8 ± 5 años en la competición y con un entrenamiento semanal de 16,6 ± 7,1 h. Las modalidades deportivas que practicaban fueron agrupadas en deportes de equipo (A), baloncesto (n = 3), balonmano (n = 5), rugby (n = 33) y waterpolo (n = 2); deportes que se compite por categorías de peso (B), halterofilia (n = 21), judo (n = 43), kárate (n = 1), lucha (n = 16), taekwondo (n = 1); deportes de lanzamiento de atletismo (C), martillo (n = 11), peso (n = 11), disco (n = 3); y deportes técnicos (D), esgrima, sable (n = 2), golf (n = 2), tiro con arco (n = 1), tiro olímpico (n = 17) y vela, Finn (n = 1).
Del protocolo antropométrico se incluyeron las siguientes variables: peso, talla, talla sentado/a, cinco perímetros corporales, cuello (medido inmediatamente superior a la prominencia laríngea del cartílago tiroides), abdominal 1 (tomado en el talle natural), abdominal 2 (tomado a nivel umbilical), cadera (en la máxima prominencia glútea) y muslo (en punto medio entre pliegue inguinal y borde superior de la rótula); y siete pliegues cutáneos: tríceps, subescapular, bíceps, supraespinal abdominal, muslo anterior y pierna medial. Las medidas de peso y talla se realizaron a primera hora de la mañana en ayunas, sin zapatos y con mínima ropa. Los pliegues fueron tomados al menos tres veces dando el valor medio de tomas que quedasen dentro del rango del error técnico de medición. El material antropométrico utilizado así como la técnica siguió las recomendaciones de la ISAK (Sociedad Internacional para al Avance de la Cineantropometría)12, salvo en la medición del perímetro de muslo y abdominal 213.
Los siguientes índices antropométricos fueron calculados: abdominal1/talla (C1/T), abdominal2/talla (C2/T), abdominal 1/talla sentado (C1/TS), abdominal 2/talla sentado (C2/TS), abdomnal1/cadera (C1/C), abdominal2/cadera (C2/C), abdomnal1/muslo (C1/M), abdominal2/muslo (C2/M), índice de masa corporal (IMC: peso, kg/talla m2), IMCTS (peso, kg/talla sentado m2), índice ponderal (IP: peso1/3, kg/talla, cm *100), índice de conicidad (IC: abdominal1 (m)/0,109 * √(peso, kg * talla, m)2, índice de forma corporal (IFC: abdominal1 m/IMC2/3 * talla1/2 m)3. Se estimó la densidad corporal (DC) mediante las ecuaciones de Withers8, 9 y posteriormente por la fórmula de Siri, 1962 ([4,95/DC] - 4,5) * 100) se obtuvo el porcentaje de grasa. DC: mujeres: 1,17484–0,07229 * (log [tríceps + subescapular + supraespinal + pierna medial], en mm); varones: 1,0988–0,0004 *(tríceps + bíceps + subescapular + supraespinal + abdominal + muslo anterior + pierna medial, en mm). Calculándose el peso graso y el peso magro, en valores absolutos y en relación con la talla al cuadrado. Se definió una variable categórica según porcentaje de grasa, estableciéndola en rango de riesgo alto (presencia de obesidad) aquella que superara el percentil 97 establecido en la población deportista2, que corresponde en varones al 22% y en mujeres al 29%; al resto se les consideró como rango de riesgo bajo (ausencia de obesidad).
Se realizó estadística descriptiva de los resultados de la muestra total y según sexo y grupo deportivo. Se comprobó por la t de Student y por ANOVA (post hoc por Bonferroni) las posibles diferencias entre estos, teniendo en cuenta la homogeneidad de las varianzas (prueba de Levene), en las variables cuya distribución no cumplió los criterios de normalidad (Kolmogorow-Smirnov) se aplicó la prueba U de Mann-Witney y la de Kruskal-Wallis. Se analizó mediante la Chi-cuadrado de Pearson las distintas proporciones de los grupos establecidos en relación con su grupo de riesgo. Posteriormente mediante las curvas ROC se determinó la exactitud (sensibilidad S y especificidad E) mediante el valor del área bajo la curva (ABC) de las diferentes variables e índices con el rango de riesgo asignado según grasa corporal. Este estudio solo se realizó en la muestra masculina ya que la muestra femenina era de pequeño tamaño (n = 22). Se consideró según Swets14, baja exactitud entre 0,5-0,7; de utilidad entre 0,7-0,9; y de alta exactitud > 0,9 de ABC. Aquellos índices con ABC en rango de utilidad en el IC 95%, fueron considerados para calcular el punto de corte mediante el punto J de Youden (valor máximo obtenido de la suma de sensibilidad más especificidad menos uno)15. El valor para la significación estadística fue a partir de p < 0,05. Se utilizó el programa estadístico IBM SPSS versión 19.
ResultadosLas características antropométricas generales de la muestra total de los 173 deportistas y según sexo se recogen en la Tabla 1. Se encontraron diferencias significativas entre la muestra masculina y la femenina, teniendo los varones valores superiores, excepto en: la edad; en los perímetros abdominal 2, cadera y muslo; y en el pliegue de abdominal cuyos valores fueron similares. En el perfil de pliegues las mayores diferencias se dieron en los pliegues de las extremidades.
Los índices de adiposidad y los componentes del peso corporal se muestran en la Tabla 2. Se encontraron diferencias estadísticamente significativas entre varones y mujeres en: C2/T, C2/TS, C1/C, C2/C, C1/M, IP, IC, IFC teniendo los varones en los dos primeros índices valores inferiores y en el resto valores superiores a los de las mujeres. En la composición corporal, los varones tuvieron significativamente mayor masa libre de grasa en valores absolutos y relativos a la talla (IMLG) y menor grasa corporal en porcentaje respecto al peso total y en relación con la talla (IMG) que las mujeres.
En la Tabla 3, se recogen los valores de composición corporal según grupo de deporte y sexo.
Excepto en el IMC, hay diferencias estadísticamente significativas en la muestra masculina entre los distintos deportes. Los deportes técnicos tuvieron mayor porcentaje de grasa e índice de grasa (kg/m2) con diferencia significativa con el resto (p< 0,0001), mientras que en valores absolutos (kg) la diferencia fue con los deportes de equipo (p < 0,0001) y por categorías de peso (p< 0,007). El menor componente magro, en valores absolutos y en relación con la talla, se da en los deportes técnicos con diferencias significativas con el resto de grupos (p < 0,0001); seguidos de los deportes por categoría de peso, que se diferencian también en valores absolutos con lanzamientos y los deportes de equipo (p < 0,001) y en relación con la talla, con los lanzamientos (p < 0,034). En la muestra femenina no se pudo realizar la comparación post hoc por el pequeño número de deportistas por modalidades, siendo el grupo de lanzamientos de atletismo el que tenía menor componente graso y mayor componente magro, tanto en valores absolutos como relativos.
Agrupando a los deportistas según riesgo (percentil de porcentaje de grasa), encontramos que 48 (27,7%) están en riesgo alto y 125 (72,3%) en riesgo bajo. Se encuentran diferencias significativas (χ» = 4,375, p = 0,036) según sexo siendo mayor el porcentaje de mujeres (90,9%) en riesgo alto que el de los varones (69,5%). En relación a las modalidad deportivas, también hay diferencias significativas (χ» = 14,14, p = 0,003), en deportes de equipo el 58,1%; en categorías de peso el 74,4%; en los lanzamientos el 64%; y en deportes técnicos el 100% de los deportistas estaban en rango de riesgo alto.
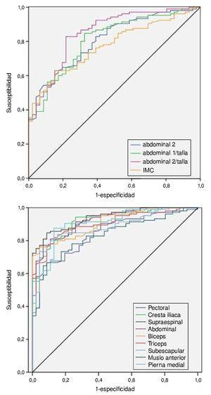
En la Tabla 4 se muestran el ABC e intervalo de confianza de las curvas ROC, en el que la variable de estado dicotómica, presencia o ausencia de obesidad (porcentaje de grasa ≥ al percentil 97) se ha contrastado a las variables antropométricas directas e índices antropométricos. Se han marcado en negrita aquellas variables con mayor discriminación. Como se comentó en material y métodos se realiza solo en la muestra masculina, por ser la muestra femenina de pequeño tamaño. Las variables cuyo intervalo de confianza al 95%, tienen en su límite inferior un valor ≥ 0,7 y por tanto son los de mayor utilidad diagnóstica fueron: las pliegues cutáneos, el perímetro abdominal 2, los índices de abdomen 1 y 2 en relación con la talla de pie o talla sentado/a y el IMC. En la Figura 1 se presentan las curvas ROC y en la Tabla 5 los puntos de corte de las variables con mayor exactitud para determinar la existencia de obesidad en el varón en la que se recogen la sensibilidad, especificidad y el índice de Youden.
Figura 1. Curvas ROC.Parte superior: perímetros e índices antropométricos. Parte inferior: pliegues cutáneos
DiscusiónLos deportistas desde el punto de vista de su composición corporal constituyen un grupo de población diferenciado debido a su mayor desarrollo muscular, si bien este depende de la modalidad deportiva practicada. Es más frecuente encontrar porcentaje de grasa en rango de obesidad en las mujeres que en los varones deportistas con un IMC alto. En los deportes técnicos en los que la composición corporal no afecta de forma significativa al rendimiento deportivo es más frecuente encontrar deportistas con obesidad, seguidos por los deportistas que compiten en las categorías más altas de peso, que alcanzan esta mayor masa corporal no solo a expensas de la masa libre de grasa sino también del componente graso. Mientras que en los deportistas que realizan lanzamientos de atletismo o que compiten en deportes de equipo es más frecuente que un IMC en rango de obesidad sea debido a su mayor componente magro o masa libre de grasa. En nuestro estudio alrededor del 72% de los deportistas hubieran sido mal catalogados por su IMC, ya que su porcentaje de grasa estaba en rango normal. Un mismo IMC (33 kg/m2) corresponde con una media de porcentaje de grasa de 26,7% en varones y de 33% en mujeres. Por tanto ya que el IMC no discrimina la composición corporal, es necesario que en los deportistas se realice la diferenciación entre componente graso y componente magro.
En análisis mediante las curvas ROC en la muestra masculina, nos indica como era esperable que son los pliegues cutáneos los más relacionados con la presencia de obesidad. De los pliegues de tronco el de mayor capacidad discriminatoria es el supraespinal (85,3% diagnóstico correcto de alto riesgo de obesidad y el 90,2% diagnóstico correcto de bajo riesgo de obesidad), seguido del subescapular (87,4% alto riesgo y 85,4% bajo riesgo). De los pliegues de extremidades, el panículo adiposo localizado en el tríceps, el que nos clasificará con alta exactitud a los individuos (84,2% alto riesgo y 85,4% bajo riesgo), seguido del pliegue de pierna medial (76,8% alto riesgo y 95,1% bajo riesgo). En el varón la grasa subcutánea es mayor en el tronco que en las extremidades (distribución androide), y cuando hay un exceso de panículo adiposo, este se depositará también inicialmente a ese nivel, siendo los pliegues tomados a nivel abdominal los de mayor valor y por tanto también difíciles de medir más si el abdomen es globuloso. Cuando el exceso de grasa corporal es alto, se elevan los pliegues cutáneos de forma generalizada. El pliegue del tríceps es muy accesible y su determinación nos podrá indicar la presencia o no de obesidad.
De los perímetros abdominales, el tomado a nivel umbilical (C2), fue mejor criterio diagnóstico que el medido a nivel del talle natural (C1) (IC 95%: 0,728-0,880 vs. IC 95%: 0,662-0,832); y ambos aumentaron su precisión cuando se relacionaron con la talla (IC 95%: 0,784-0,916 vs IC 95%: 0,738-0,881). Es destacable que en los perímetros corporales solo existan diferencias entre sexos a nivel del abdomen en C 1 (no en C2) y en el perímetro de cuello, mientras que en los índices hay mayor dismorfismo con igual IMC. La falta de consenso en la estandarización del perímetro abdominal es un problema a la hora de utilización de los puntos de corte, ya que estos pueden diferir de una a otra localización, también hay que tenerlo en cuenta en los otros índices como el de conicidad y forma corporal y en las ecuaciones que los incluyen para estimar la grasa corporal. La Sociedad Española para el estudio de la obesidad (SEEDO) siguiendo las recomendaciones del Instituto Nacional de la Salud Americano (NIH)16, recomienda medirlo a nivel de la parte superior de la cresta iliaca, por considerar que una referencia ósea tiene más estabilidad, determinando el punto de corte de mayor riesgo cardiovascular en > 102 cm y > 88 cm, varón y mujer respectivamente. Si bien este es un punto de difícil localización, más si la persona es obesa ya que es uno de los lugares donde mayor panículo adiposo se acumula. El problema de la toma a nivel umbilical es cuando el exceso de grasa es tal que en la zona donde se localiza el ombligo se forma un faldón que tiende a descender por efecto de la gravedad. Estos casos de obesidad extrema son poco frecuentes en los deportistas. La ISAK12 fija el perímetro de cintura a nivel del talle natural, el denominado como C1, el cual es mejor valorarlo relacionándolo con la talla del sujeto. El punto de corte del perímetro tomado a nivel umbilical es de > 101,5 cm en nuestra muestra de varones, siendo por tanto similar a lo referido para la población general por la SEEDO. Nuestros datos también apoyan que esta variable es independiente de los valores obtenidos en el IMC, ya comentado por otros autores17. En relación al riesgo cardiovascular, Mason y Katzmarzyk18 calcularon el punto de corte en 100 cm para cualquier nivel abdominal, excepto para la cintura mínima que lo fijaron en 97 cm, si bien con distinta S y E dependiendo de la localización. También pueden existir diferencias entre grupos étnicos19. Como hemos mencionado anteriormente la relación del perímetro abdominal con la talla del sujeto aumenta el ABC de las curvas ROC, fijándose el punto de corte en los varones en 0,53 y 0,57, C1/T y C2/T respectivamente, estos tienen mayor sensibilidad que el IMC pero menor especificidad, con un Índice de Youden más alto (C2/T: 0,60 vs. IMC: 0,46). Para la población general el punto de corte fijado es de 0,50 algo inferior, y se ha generalizado con el mensaje «mantén la circunferencia de tu cintura a menos de la mitad de tu altura»20.
El perímetro de cadera tuvo una ABC mayor que cuando se calculaba en relación con el perímetro abdominal (C1/C, C2/C) y fue mayor que el perímetro del muslo y del perímetro del cuello, estando en rango de baja utilidad diagnóstica. La relación perímetro cintura y cadera se definió para categorizar la obesidad central, siendo indicativo de esta un valor mayor de 0,90 y de 0,85, en el varón y mujer respectivamente21. Actualmente está en desuso ya que se han obtenido mejores relaciones con la morbimortalidad cuando se valora la zona abdominal de forma absoluta. Tampoco los índices con el perímetro de muslo aumentaron la precisión en relación con el IMC en cuanto a la presencia de obesidad.
En relación con los índices antropométricos donde solo intervienen las variables generales de peso y talla, IMC e IP, uno en relación cuadrática y el otro cúbica, solo el IMC queda en rango de utilidad diagnóstica (IC 95%: 0,700-0,847), situando su punto de corte en la muestra masculina en 32,8 kg/m2, es decir, casi 3 kg por metro cuadrado más que en la población general. Los nuevos índices de conicidad y de forma corporal, que introducen además el perímetro de abdomen, no mejoran la exactitud como predictores de la obesidad, siendo incluso inferior al IMC. No siendo por tanto variables útiles para discriminar la existencia de obesidad por lo menos en la población deportista.
La distinta proporcionalidad de la longitud del tronco y del miembro inferior puede afectar al punto de corte elegido, ya que la mayor parte de la grasa corporal se localiza a nivel del tronco. Por ello en las personas de procedencia asiática se han definido intervalos de IMC diferentes para catalogar sus diferentes grados22. En nuestro trabajo la exactitud de los índices calculados con la talla sentado/a en lugar de calcularlos con la talla de pie no incrementa la capacidad diagnóstica.
En relación a los valores de referencia de la población deportista española2, los puntos de corte se encuentran en el percentil 99 el del IMC, en percentil 95 el del tríceps y muslo anterior, en percentil 97 el del bíceps, y el del resto de los pliegues entre percentil 97-99. En cuanto a referencias respecto a la población general española de sexo y edad similar, el tríceps se situaría en percentil 85 y el subescapular en el percentil 9523. Y en relación con la población americana nuestro punto de corte se situaría en percentil 85 y en percentil 90, tríceps y subescapular respectivamente24.
Se requiere ampliar el tamaño de la muestra femenina para poder realizar el estudio de las curvas ROC, comprobar la validez de los índices antropométricos y fijar los puntos de corte. Quizás sería factible repetir este estudio seleccionando a las mujeres con IMC en grado de sobrepeso (>25 kg/m2), ya que respecto al varón a igual IMC estas tienen menor componente magro tanto en valores absolutos como relativos y por tanto su punto de corte debería ser inferior. También son necesarios estudios más precisos de la composición del cuerpo, como la resonancia magnética y la tomografía computarizada, para una mejor cuantificación de los componentes graso y magro, en la población deportista y su relación con las variables antropométricas clásicas.
En las personas que practican deporte o ejercicio físico de forma regular con un IMC en grado de obesidad, sobre todo si no es una modalidad puramente técnica, no deberemos de catalogarlos como tales sin antes estimar por medidas complementarias la grasa corporal. La antropometría es una técnica fácil y poco costosa que nos permite la medición de pliegues cutáneos y con ellos estimar los componentes graso y magro. En las personas con sobrepeso se deben tomar solo los que técnicamente se realicen con garantías y complementar el estudio mediante la valoración del perímetro abdominal en relación con la talla, siendo aconsejable la utilizando de los puntos de corte más específicos según la población de procedencia. En deportistas hasta un IMC de 32,8 kg/m2 puede considerarse sobrepeso debido predominantemente a su componente magro o libre de grasa.
Conflicto de interesesLa autora declara no tener ningún conflicto de intereses.
Agradecimientos
A los deportistas que acuden al reconocimiento médico deportivo, a los médicos becados que han colaborado durante estos años en el servicio y a mi compañera Susana Higueras por su ayuda en el trabajo diario.
Recibido el 9 de agosto de 2016;
aceptado el 12 de septiembre de 2016
Disponible en Internet el 11 de noviembre de 2016
∗ Autor para correspondencia.
Correo electrónico: alicia.canda@aepsad.gob.es









