L’objectiu del treball fou determinar en els esportistes amb IMC en rang d’obesitat la relació entre índexs d’adipositat i greix corporal calculats per antropometria i establir els més vàlids per a aquesta població.
Es realitzà un estudi retrospectiu dels esportistes amb IMC igual o major de 30 kg/m2. La mostra fou de 173 esportistes (151 homes i 22 dones), edat de 23,3 ± 4,9 anys, amb 9,8 ± 5 anys de competició i un entrenament de 16,6 ± 7,1 h/setmana. El protocol inclogué 15 variables i es calcularen els índexs antropomètrics relacionats amb l’adipositat i el greix corporal. Mitjançant les corbes ROC, es comprovà el grau d’exactitud diagnòstica en relació amb l’obesitat (percentatge de greix elevat).
Les variables antropomètriques amb major àrea sota la corba foren els plecs cutanis —i d’aquests plecs, el supraspinal (IC 95%: 0,889-0,974), amb un punt de tall de 21 mm—, seguits del perímetre d’abdomen en relació amb la talla (IC 95%: 0,784-0,916) amb un punt de tall de 0,57. Dels esportistes, el 72% haurien estat mal catalogats d’obesitat pel seu IMC, i s’establí que fins a un IMC de 32,8 kg/m2 en homes pot considerar-se com a sobrepès, degut predominantment al component magre o lliure de greix.
Per diagnosticar l’obesitat dels esportistes, cal estimar el greix corporal mitjançant el mesurament dels plecs cutanis o, si no, mitjançant el mesurament de la circumferència de la cintura en relació amb la talla.
The aim of this paper is to examine athletes whose BMI is in the obesity range, and to determine the relationship between their adiposity indices and their body fat measured by anthropometry, while establishing which would be the most valid for this population.
A retrospective study was carried out on athletes with a BMI of 30 kg/m2 or higher. The sample consisted of 173 athletes (151 males and 22 females), aged 23.3± 4.9 years, with 9.8± 5 years in competition, training 16.6± 7.1 hours/week. The protocol included 15 variables and the calculation of anthropometric indices related to adiposity and body fat. ROC curves were used to check the level of diagnostic accuracy in relation to obesity (high fat percentage).
The anthropometric variables with the greatest area under the curve were skinfolds and, in particular, supraspinale skinfolds (95% CI: 0.899-0.974), with a cut-off point of 21 mm. These were followed by waist circumference to height ratio (95% CI: 0.784-0.916) with a cut-off point of 0.57. As many as 72% of the athletes would have been wrongly classified as obese by their BMI. It was established that a BMI of up to 32.8 kg/m2 may be considered as overweight for males, mainly due to their lean or fat-free mass.
In order to diagnose obesity in athletes, body fat should be assessed by means of skin-fold measurements or, failing that, by measuring waist circumference to height ratios.
Introducció
L’índex de massa corporal (IMC), pes corporal en relació amb la talla al quadrat, és un índex antropomètric àmpliament utilitzat en el diagnòstic de l’obesitat i forma part dels criteris de valoració del risc cardiovascular. El valor a partir del qual es considera obesitat és de 30 kg/m2. Mentre que en la població general aquest índex té una gran validesa, en la població esportista planteja alguns dubtes, degut a què inclou el pes corporal total, és a dir, la suma tant del component greixós com del component magre; recordem que l’obesitat es defineix com una acumulació anormal o excessiva de greix que pot ser perjudicial per a la salut1. A la persona que practica esport se li produeix una hipertròfia del múscul esquelètic de major o menor grau, depenent fonamentalment de la seva modalitat i nivell d’entrenament2,3, que pot anar acompanyada o no d’una pèrdua de greix corporal. Per tant, un esportista pot tenir un IMC elevat i tanmateix no tenir un excés de greix corporal perillós o que s’hagi sobrevalorat aplicant la classificació clàssica.
A més de l’IMC, s’han definit altres índexs antropomètrics per millorar el diagnòstic d’obesitat, com són l’índex de conicitat4, l’índex de forma corporal5 i els perímetres corporals de cintura, maluc i cuixa en relació entre ells o amb la talla, amb què es valora el greix i la seva localització central o perifèrica6. S’han establert diferents punts de tall segons la seva associació amb la mortalitat cardiovascular i global en estudis longitudinals7,8. Un problema afegit és la normalització diferent d’algunes mesures, com el perímetre de cintura, que es pot prendre des de diferents nivells de l’abdomen9.
L’antropometria calcula el greix corporal mitjançant equacions de regressió elaborades a partir dels plecs cutanis, basant-se en la relació existent entre el greix subcutani i el greix visceral. Per a la població esportista, Withers et al.10,11 desenvoluparen una equació específica prenent com a patró de referència la pesada hidrostàtica. Quan hi ha un excés de greix subcutani s’esdevé que el mesurament dels plecs cutanis pot ser difícil o tècnicament impossible de realitzar.
L’objectiu del treball fou determinar la relació de l’índex d’adipositat i el greix corporal en els esportistes amb IMC en rang d’obesitat, calculada per antropometria, i establir quins són els més vàlids per a aquests tipus de població.
Material i mètodes
Es realitzà un estudi retrospectiu i observacional dels esportistes que acudiren al nostre centre entre els anys 1993 a 2015, seleccionant-ne els que complien els criteris següents: IMC igual o major de 30 kg/m2, edat major de 16 anys i caucàsics. D’aquests esportistes se n’exclogueren 10, als quals no se’ls pogué mesurar la totalitat del perfil de plecs cutanis (5 dones i 5 homes). La mostra quedà constituïda per 173 esportistes (151 homes i 22 dones) d’una mitjana d’edat de 23,3 ± 4,9 anys, que feia 9,8 ± 5 anys que competien i amb un entrenament setmanal de 16,6 ± 7,1 h. Les modalitats esportives que practicaven foren agrupades en esports d’equip (A): bàsquet (n = 3), handbol (n = 5), rugbi (n = 33) i waterpolo (n = 2); esports en què es competeix per categories de pes (B): halterofília (n = 21), judo (n = 43), karate (n = 1), lluita (n = 16), taekwondo (n = 1); esports de llançament d’atletisme (C): martell (n = 11), pes (n = 11), disc (n = 3), i esports tècnics (D): esgrima, sabre (n = 2), golf (n = 2), tir amb arc (n = 1), tir olímpic (n = 17) i vela, finn (n = 1).
S’inclogueren les següents variables del protocol antropomètric: pes, talla, talla assegut/da; 5 perímetres corporals: coll (mesurat immediatament per sobre la prominència laríngia del cartílag tiroides), abdominal 1 (pres a la cintura natural), abdominal 2 (pres a la cintura umbilical), maluc (en la màxima prominència glútia) i cuixa (en el punt mitjà entre plec inguinal i vora superior de la ròtula), i 7 plecs cutanis: tríceps, subescapular, bíceps, supraspinal, abdominal, cuixa anterior i cuixa medial. Les mesures de pes i talla es realitzaren a primera hora del matí en dejú, descalços, i amb el mínim de roba. Es prengueren els plecs almenys 3 vegades i es registrà el valor mitjà de les mesures que quedessin dins el rang de l’error tècnic de mesura. El material antropomètric utilitzat i la tècnica seguien les recomanacions de la Societat Internacional per a l’Avançament de la Cineantropometria (ISAK)12, llevat del mesurament del perímetre de cuixa i abdominal 213.
Es calcularen el índexs antropomètrics següents: abdominal 1/talla (C1/T), abdominal 2/talla (C2/T), abdominal 1/ talla assegut (C1/TA), abdominal 2/talla assegut (C2/TA), abdominal 1/maluc (C1/M), abdominal 2/ maluc (C2/M), abdominal 1/cuixa (C1/C), abdominal 2/cuixa (C2/C), índex de massa corporal (IMC: pes, kg/talla·m2), IMCTA (pes, kg/talla assegut·m2), índex ponderal (IP: pes1/3, kg/ talla, cm * 100), índex de conicitat (IC: abdominal 1 (m)/0,109 * √(pes, kg * talla, m)2, índex de forma corporal (IFC: abdominal 1 m/IMC2/3 * talla1/2 m)3. Es calculà la densitat corporal (DC) amb les equacions de Withers8,9 i posteriorment amb la fórmula de Siri, 1962 ([4,95/ DC] − 4,5) * 100) s’obtingué el percentatge de greix. DC: dones: 1,17484-0,07229 * (log [tríceps + subescapular + supraspinal + cama medial], en mm); homes: 1,0988-0,0004 * (tríceps + bíceps + subescapular + supraspinal + abdominal + cuixa anterior + cuixa medial, en mm). Es calculà el pes gras i el pes magre, en valors absoluts i en relació amb la talla al quadrat. Es definí una variable categòrica segons el percentatge de greix i s’establí com a rang de risc alt (presència d’obesitat) la que superés el percentil 97 establert en la població esportista2, que correspon en homes al 22% i en dones al 29%; a la resta se’ls considerà com a rang de risc baix (absència d’obesitat).
Es realitzà estadística descriptiva dels resultats de la mostra total i per sexe i grup esportiu. Es comprovaren mitjançant la t d’Student i ANOVA (post hoc de Bonferroni) les possibles diferències entre ells, tenint en compte l’homogeneïtat de les variàncies (prova de Levene); a les variables amb distribució que no complien els criteris de normalitat (Kolmogorow-Smirnov) s’aplicà la prova U de Mann-Witney i la de Kruskal-Wallis. Mitjançant el χ2 de Pearson s’analitzaren les diferents proporcions dels grups establerts en relació amb el seu grup de risc. Posteriorment, mitjançant les corbes ROC es determinà l’exactitud (sensibilitat [S] i especificitat [E]) mitjançant el valor de l’àrea sota la corba (ABC) de les diferents variables i índexs amb el rang de risc assignat segons el greix corporal. Aquest estudi només es realitzà amb la mostra masculina, ja que la mostra femenina era petita de dimensions (n = 22). Es considerà, segons Swets14, baixa exactitud entre 0,5-0,7; d’utilitat entre 0,7-0,9, i d’alta exactitud > 0,9 d’ABC. Els índexs amb ABC de rang d’utilitat en l’IC 95% foren considerats per calcular el punt de tall mitjançant el punt J de Youden (valor màxim obtingut de la suma de sensibilitat més especificitat menys un)15. El valor de significació estadística s’establí a partir de p < 0,05. S’utilitzà el programa estadístic IBM SPSS versió 19.
Resultats
Les característiques antropomètriques generals de la mostra total dels 173 esportistes i segons el sexe es presenten a la taula 1. Es trobaren diferències significatives entre la mostra masculina i la femenina; els homes tingueren valors superiors, llevat en l’edat, en els perímetres abdominal 2, maluc i cuixa, i en el plec abdominal, els valors dels quals foren similars. En el perfil de plecs les majors diferències es trobaren en els plecs de les extremitats.
Els índexs d’adipositat i els components del pes corporal es mostren a la taula 2. Es trobaren diferències estadísticament significatives entre homes i dones en: C2/T, C2/TA, C1/M, C2/M, C1/C, IP, IC, IFC; en els dos primers índexs els homes tingueren valors inferiors, i en la resta, valors superiors als de les dones. En la composició corporal els homes tingueren significativament major massa lliure de greix en valors absoluts i relatius a la talla (IMLG) i menor greix corporal en percentatge respecte al pes total i en relació amb la talla (IMG) que les dones.
A la taula 3 es recullen els valors de composició corporal per grups d’esport i sexe.
A la mostra masculina hi ha diferències estadísticament significatives entre els diferents esports, tret de l’IMC. Els esports tècnics tingueren major percentatge de greix i índex de greix (kg/m2) amb diferència significativa de la resta (p < 0,0001), mentre que en valors absoluts (kg) la diferència fou amb els esports d’equip (p < 0,0001) i per categories de pes (p < 0,007). El menor component magre, en valors absoluts i en relació amb la talla, s’observa en els esports tècnics, amb diferències significatives amb la resta de grups (p < 0,0001), seguit dels esports per categories de pes, que es diferencien també en valors absoluts en els llançaments, i en els esports d’equip (p < 0,001) i en relació amb la talla, amb els llançaments (p < 0,034). A la mostra femenina no es pogué realitzar la comparació post hoc pel petit nombre d’esportistes per modalitats, essent el grup de llançaments d’atletisme el que tingué menor component de greix i major component magre, tant en valors absoluts com relatius.
Agrupant els esportistes segons el risc (percentil de percentatge de greix), trobem que 48 (27,7%) estan en risc alt i 125 (72,3%) en risc baix. Es trobaren diferències significatives (χ2 = 4,375, p = 0,036) segons el sexe, essent major el percentatge de dones en risc alt (90,9%) que el d’homes (69,5%). En relació a les modalitats esportives, també hi ha diferències significatives (χ2 = 14,14, p = 0,003): en esports d’equip el 58,1%, en categories de pes el 74,4%, en els llançaments el 64%, i en esports tècnics el 100% dels esportistes es trobaven en rang de risc alt.
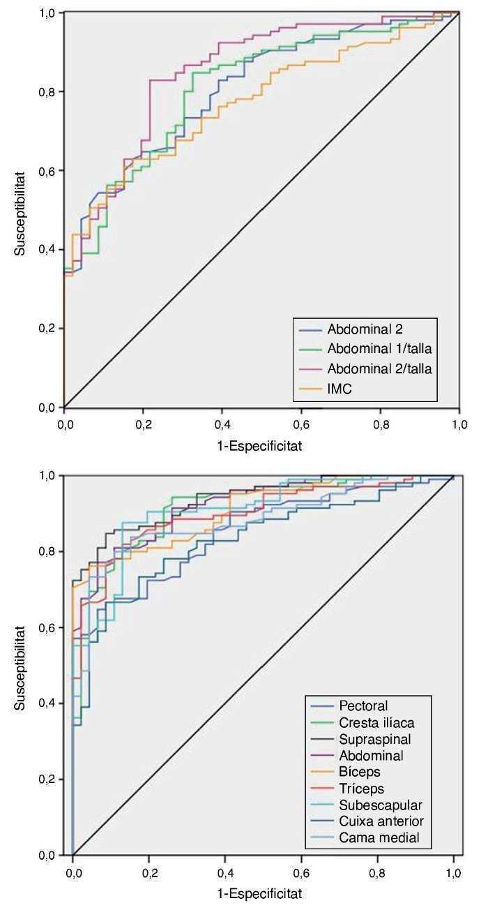
A la taula 4 es mostren l’ABC i l’interval de confiança de les corbes ROC, en què la variable d’estat dicotòmica, presència o absència d’obesitat (percentatge de greix igual o superior al percentil 97) s’ha contrastat amb les variables antropomètriques directes i índexs antropomètrics. S’han marcat en negreta les variables amb més discriminació. Tal com s’ha comentat a «Material i mètodes» es realitza només en la mostra masculina, perquè la mostra femenina era de mida petita. Les variables amb un interval de confiança del 95% tenen en el límit inferior un valor ≥ 0,7 i per tant són les de major utilitat diagnòstica, i foren: els plecs cutanis, el perímetre abdominal 2, els índexs d’abdomen 1 i 2 en relació amb la talla dempeus o la talla assegut/da i l’IMC. A la figura 1 es presenten les corbes ROC i a la taula 5 els punts de tall de les variables amb una exactitud major per determinar l’existència d’obesitat en l’home en què es recull la sensibilitat, l’especificitat i l’índex de Youden.
Figura 1. Corbes ROC. Part superior: perímetres i índex antropomètrics. Part inferior: plecs cutanis.
Discussió
Des del punt de vista de la composició corporal, els esportistes constitueixen un grup de població diferenciat degut a un desenvolupament muscular major, tot i que aquest desenvolupament depèn de la modalitat esportiva practicada. És més freqüent trobar percentatges de greix en rang d’obesitat en les dones que en els homes esportistes amb un IMC alt. En els esports tècnics en què la composició corporal no afecta de manera significativa el rendiment esportiu és més freqüent trobar esportistes amb obesitat, seguits del esportistes que competeixen en categories més altes de pes, que arriben a una massa corporal major no sols a costa de la massa lliure de greix, sinó també del component gras. D’altra banda, en els esportistes que realitzen llançaments d’atletisme o en els que competeixen en esports d’equip és més freqüent que un IMC en rang d’obesitat obeeixi a un component magre major o massa lliure de greix. Al nostre estudi, al voltant del 72% dels esportistes podrien haver estat mal catalogats pel seu IMC, atès que el seu percentatge de greix es trobava en rang normal. Un mateix IMC (33 kg/ m2) correspon a una mitjana de percentatge de greix del 26,7% en homes i del 33% en dones. Per tant, ja que l’IMC no discrimina la composició corporal, cal que en els es- portistes es diferenciï entre component gras i component magre.
L’anàlisi mitjançant les corbes ROC de la mostra masculina indica que, tal com era d’esperar, els plecs cutanis són els més relacionats amb la presència d’obesitat. Dels plecs del tronc el de major capacitat discriminatòria és el supraspinal (en el 85,3% diagnòstic correcte de risc alt d’obesitat i en el 90,2% diagnòstic correcte de risc d’obesitat baix), seguit del subescapular (87,4% risc alt i 85,4% risc baix). Dels plecs de les extremitats, el pannicle adipós localitzat al tríceps és el que classifica amb una exactitud més elevada els individus (84,2% risc alt i 85,4% risc baix), seguit del plec de la cama medial (76,8% risc alt i 95,1% risc baix). A l’home el greix subcutani és superior en el tronc que a les extremitats (distribució androide), i quan hi ha un excés de pannicle adipós, aquest pannicle també es diposita inicialment a aquest nivell, i el plecs mesurats a nivell abdominal són els de més valor i per tant també difícils de mesurar, i encara més si l’abdomen és globulós. Quan l’excés de greix corporal és alt, s’eleven els plecs cutanis de forma generalitzada. El plec del tríceps és molt accessible, i determinar-lo pot indicar la presència o no d’obesitat.
Dels perímetres abdominals, el mesurat a nivell umbilical (C2) fou millor criteri diagnòstic que el mesurat a nivell de la cintura natural (C1) (IC 95%: 0,728-0,880 vs IC 95%: 0,662-0,832), i ambdós augmentaren la precisió quan es relacionaren amb la talla (IC 95%: 0,784-0,916 vs IC 95%: 0,738-0,881). És destacable que en els perímetres corporals només hi ha diferències entre sexes a nivell de l’abdomen a C1 (no a C2) i al perímetre del coll, mentre que en els índexs hi ha major dimorfisme amb igual IMC. La falta de consens en l’estandardització del perímetre abdominal és un problema a l’hora d’utilitzar els punts de tall, i ja que aquests punts poden diferir d’una localització a una altra, també cal tenir-ho en compte en els altres índexs, com el de conicitat i forma corporal, i a les equacions que els inclouen per valorar el greix corporal. La Sociedad Española para el Estudio de la Obesidad (SEEDO), d’acord amb les recomanacions de l’Institut Nacional de la Salut Americà (NIH)16, recomana mesurar-lo a nivell de la part superior de la cresta ilíaca, per considerar que una referència òssia té més estabilitat, determinant el punt de tall de major risc cardiovascular en > 102 cm i > 88 cm, home i dona, respectivament, tot i que aquest és un punt de difícil localització, i més si la persona és obesa, ja que és un dels llocs on més s’acumula el pannicle adipós. El problema de la presa a nivell umbilical és quan l’excés de greix és tan gran que en la zona on es localitza el melic es forma un faldó que tendeix a baixar per efecte de la gravetat. Aquests casos d’obesitat extrema són poc freqüents en els esportistes. La ISAK12 fixa el perímetre de cintura a nivell de la cintura natural, la denominada C1, que és millor valorar-la relacionant-la amb la talla del subjecte. El punt de tall del perímetre mesurat a nivell umbilical és > 101,5 cm a la nostra mostra d’homes, i per tant és similar al referit per a la població general per la SEEDO. Les nostres dades també recolzen que aquesta variable és independent dels valors obtinguts de l’IMC, ja comentat per altres autors17. En relació al risc cardiovascular, Mason i Katzmarzyk18 calcularen el punt de tall en 100 cm per a qualsevol nivell abdominal, llevat de la cintura mínima, que fixaren en 97 cm, tot i que amb diferent S i E depenent de la localització. També hi poden haver diferències entre grups ètnics19. Com hem esmentat anteriorment, la relació del perímetre abdominal amb la talla del subjecte augmenta l’ABC de les corbes ROC, i es fixa el punt de tall dels homes en 0,53 i 0,57, C1/T i C2/T, respectivament; aquests tenen major sensibilitat que l’IMC però menor especificitat, amb un índex de Youden més alt (C2/T: 0,60 vs IMC: 0,46). Per a la població general el punt de tall fixat és 0,50, una mica inferior, i s’ha generalitzat amb el missatge «has de mantenir la circumferència de la cintura a menys de la meitat de l’alçada»20.
El perímetre del maluc tingué una ABC major que quan es calculava en relació amb el perímetre abdominal (C1/M, C2/M) i fou major que el perímetre de la cuixa i el perímetre del coll, quan estava en rang de baixa utilitat diagnòstica. La relació perímetre cintura i maluc es definí per categoritzar l’obesitat central, essent-ne indicatiu un valor major de 0,90 i de 0,85, en l’home i la dona, respectivament21. Actualment està en desús, ja que s’obté una relació millor amb la morbimortalitat quan es valora la zona abdominal de forma absoluta. Tampoc els índexs amb el perímetre de cuixa augmentaren la precisió en relació amb l’IMC quant a la presència d’obesitat.
En relació amb els índexs antropomètrics en què només intervenen les variables generals de pes i talla, IMC i IP, un en relació quadràtica i l’altre cúbica, només l’IMC queda en rang d’utilitat diagnòstica (IC 95%: 0,700-0,847), situant el punt de tall de la mostra masculina en 32,8 kg/m2, és a dir, gairebé 3 kg per metre quadrat més que en la població general. Els nous índexs de conicitat i de forma corporal, que introdueixen a més el perímetre de l’abdomen, no milloren l’exactitud com a predictors de l’obesitat, essent encara inferiors a l’IMC. Per tant, no són variables útils per discriminar l’existència d’obesitat, com a mínim en la població esportista.
La diferent proporcionalitat de la longitud del tronc i dels membres inferiors pot afectar el punt de tall escollit, ja que la major part del greix corporal es localitza a nivell del tronc. Per això, en les persones de procedència asiàtica s’han definit intervals d’IMC diferents per catalogar els seus diferents graus22. Al nostre treball l’exactitud dels índexs calculats amb la talla assegut/da per comptes de calcular-los amb la talla dempeus no incrementa la capacitat diagnòstica.
En relació amb els valors de referència de la població esportista espanyola2, els punts de tall es troben al percentil 99 el de l’IMC, al percentil 95 els del tríceps i cuixa anterior, al percentil 97 el del bíceps, i el de la resta de plecs entre els percentils 97-99. Quant a referències respecte a la població general espanyola de sexe i edat similar, el tríceps se situaria en el percentil 85 i el subescapular en el percentil 9523. En relació amb la població americana, el punt de tall es situaria en el percentil 85 i en el percentil 90, en quant a tríceps i subescapular, respectivament24.
Cal ampliar la grandària de la mostra femenina per poder realitzar l’estudi de les corbes ROC, comprovar la validesa dels índexs antropomètrics i fixar els punts de tall. Tal vegada fóra factible repetir aquest estudi seleccionant les dones amb IMC en grau de sobrepès (> 25 kg/m2), ja que respecte a l’home a igual IMC les dones tenen menor component magre tant en valors absoluts com relatius i per tant el seu punt de tall hauria de ser inferior. També calen estudis més precisos de la composició del cos, com la ressonància magnètica i la tomografia computeritzada, per quantificar millor els components gras i magre en la població esportista i la seva relació amb les variables antropomètriques clàssiques.
A les persones que practiquen esport o exercici físic de forma regular amb un IMC en grau d’obesitat, sobretot si no és una modalitat purament tècnica, no hem de catalogar-los com a tals sense valorar abans amb mesures complementàries el greix corporal. L’antropometria és una tècnica fàcil i poc costosa que permet mesurar els plecs cutanis i amb ells valorar els components gras i magre. En les persones amb sobrepès s’han de prendre només els que tècnicament es facin amb garanties i complementar l’estudi mitjançant la valoració del perímetre abdominal en relació amb la talla, essent aconsellable utilitzar els punts de tall més específics segons la població de procedència. En esportistes fins a un IMC de 32,8 kg/m2 pot considerar-se sobrepès, degut predominantment al seu component magre o lliure de greix.
Conflicte d’interessos
L’autora declara que no té cap conflicte d’interessos.
Agraïments
Als esportistes que acudeixen a reconeixement medicoesportiu, als metges becats que han col·laborat durant aquests anys al servei, i a la meva companya Susana Higueras pel seu ajut en la feina diària.
Rebut el 9 d’agost de 2016;
acceptat el 12 de setembre de 2016
Correu electrònic: alicia.canda@aepsad.gob.es









